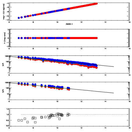
Left plots: red are targets, blue are telluric. Observed mags are calculated from median value of green chip. Zeropoint gives overall throughput: bigger number is more throughput.
First spatial plots: circles are objects, squares are tellurics, crosses are sky fibers. Colors give deviation of observed mag from expected 2MASS mag using the median zeropoint; red is brighter
Second spatial plots: circles are sky fibers. Colors give sky line brightness relative to plate median sky line brightness
FrameNreadsZeropointsMag plots Spatial mag deviation Spatial sky 16325A emission deviations (filled: sky, open: star) Spatial sky continuum emission Spatial sky telluric CO2 absorption deviations (filled: H < 10)
0 0
RedGreenBlue
z17.64
znorm Inf
sky -NaN -NaN -Inf
S/N 28.0 49.6 53.8
S/N(c) 0.0 0.0 0.0
SN(E/C) 0.89

IPAIRNAMESHIFTNEWSHIFTS/N NAMESHIFTNEWSHIFTS/N
0 06060049 0.491375 0.00000 19.0485 06060050 0.00321456 0.488160 19.1201
1 06060053 0.488794 0.00258100 19.1711 06060054 0.00344641 0.487929 19.1655
2 06060052 0.489014 0.00236100 19.1029 06060051 0.00177455 0.489600 19.1216
3 06060048 0.490546 0.000829011 18.9696 06060047 0.00000 0.491375 18.9069