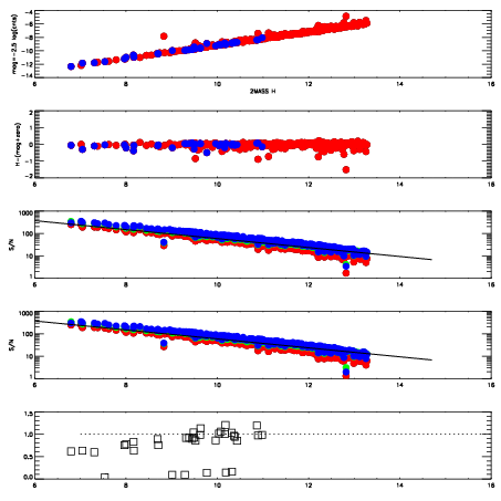
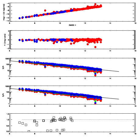
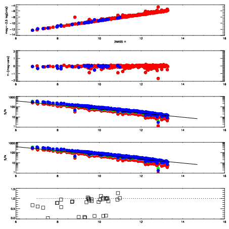
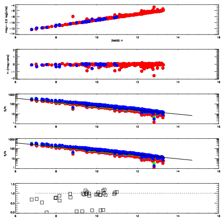
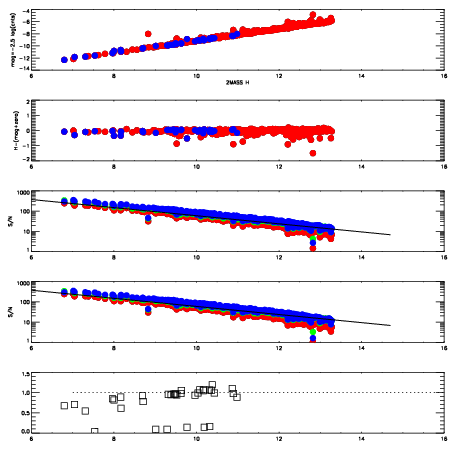
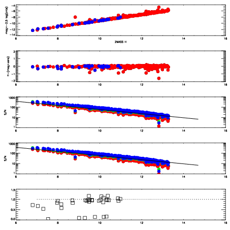
Frame | Nreads | Zeropoints | Mag plots
| Spatial mag deviation
| Spatial sky 16325A emission deviations (filled: sky, open: star)
| Spatial sky continuum emission
| Spatial sky telluric CO2 absorption deviations (filled: H < 10)
|
6430036
| 47
| | Red | Green | Blue
| z | | 19.19
| znorm | | 15.01
| sky | 14.6 | 14.4 | 14.6
| S/N | 16.8 | 26.7 | 28.6
| S/N(c) | 28.0 | 12.1 | 11.5
| SN(E/C) | 0.89
|
|
|
|
|
|
|
6430037
| 47
| | Red | Green | Blue
| z | | 19.17
| znorm | | 14.99
| sky | 14.6 | 14.6 | 14.7
| S/N | 16.7 | 26.5 | 28.5
| S/N(c) | 27.7 | 12.0 | 11.5
| SN(E/C) | 0.88
|
|
|
|
|
|
|
6430038
| 47
| | Red | Green | Blue
| z | | 19.17
| znorm | | 14.99
| sky | 14.8 | 14.7 | 14.9
| S/N | 16.5 | 26.7 | 28.4
| S/N(c) | 27.5 | 12.0 | 11.5
| SN(E/C) | 0.86
|
|
|
|
|
|
|
6430039
| 47
| | Red | Green | Blue
| z | | 19.17
| znorm | | 14.99
| sky | 14.6 | 14.7 | 14.9
| S/N | 16.7 | 26.8 | 28.5
| S/N(c) | 27.4 | 12.0 | 11.5
| SN(E/C) | 0.93
|
|
|
|
|
|
|
6430040
| 47
| | Red | Green | Blue
| z | | 19.19
| znorm | | 15.01
| sky | 14.7 | 14.6 | 14.9
| S/N | 16.4 | 27.2 | 28.6
| S/N(c) | 27.7 | 12.1 | 11.5
| SN(E/C) | 0.92
|
|
|
|
|
|
|
6430041
| 47
| | Red | Green | Blue
| z | | 19.17
| znorm | | 14.99
| sky | 14.6 | 14.6 | 14.8
| S/N | 16.6 | 27.0 | 28.4
| S/N(c) | 27.6 | 12.1 | 11.5
| SN(E/C) | 0.94
|
|
|
|
|
|
|
6430042
| 47
| | Red | Green | Blue
| z | | 19.15
| znorm | | 14.97
| sky | 14.9 | 14.7 | 14.8
| S/N | 16.4 | 26.4 | 28.1
| S/N(c) | 27.2 | 11.9 | 11.3
| SN(E/C) | 0.90
|
|
|
|
|
|
|
6430043
| 47
| | Red | Green | Blue
| z | | 19.13
| znorm | | 14.94
| sky | 14.6 | 14.6 | 14.9
| S/N | 16.0 | 25.7 | 27.4
| S/N(c) | 27.1 | 11.7 | 11.1
| SN(E/C) | 0.92
|
|
|
|
|
|
|