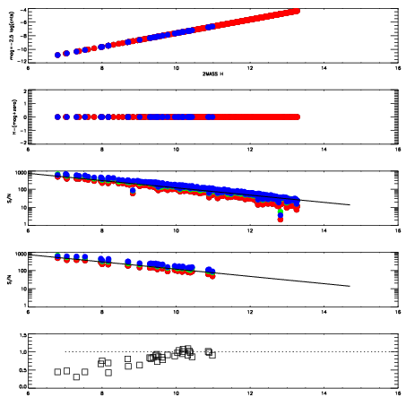
Left plots: red are targets, blue are telluric. Observed mags are calculated from median value of green chip. Zeropoint gives overall throughput: bigger number is more throughput.
First spatial plots: circles are objects, squares are tellurics, crosses are sky fibers. Colors give deviation of observed mag from expected 2MASS mag using the median zeropoint; red is brighter
Second spatial plots: circles are sky fibers. Colors give sky line brightness relative to plate median sky line brightness
FrameNreadsZeropointsMag plots Spatial mag deviation Spatial sky 16325A emission deviations (filled: sky, open: star) Spatial sky continuum emission Spatial sky telluric CO2 absorption deviations (filled: H < 10)
0 0
RedGreenBlue
z17.64
znorm Inf
sky -NaN -NaN -NaN
S/N 29.7 50.7 53.5
S/N(c) 0.0 0.0 0.0
SN(E/C) 0.86

IPAIRNAMESHIFTNEWSHIFTS/N NAMESHIFTNEWSHIFTS/N
0 06430041 0.482850 0.00000 19.1666 06430036 0.00000 0.482850 19.1881
1 06430037 0.481188 0.00166199 19.1660 06430040 -0.00148858 0.484339 19.1695
2 06430038 0.481094 0.00175598 19.1602 06430039 -7.47858e-05 0.482925 19.1606
3 06430042 0.482777 7.29859e-05 19.1431 06430043 -0.000623642 0.483474 19.1125