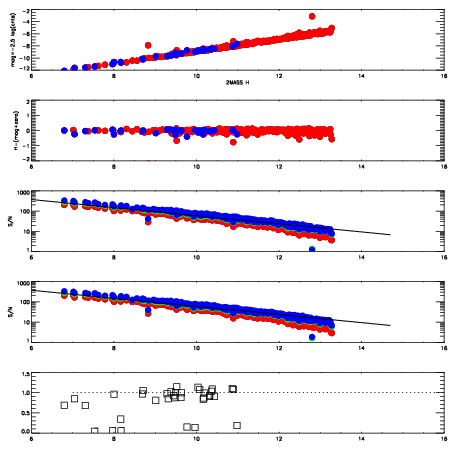
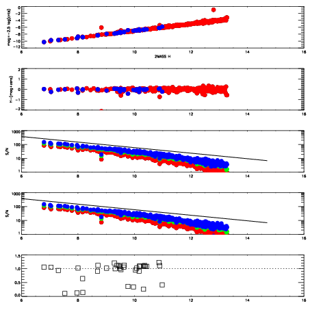
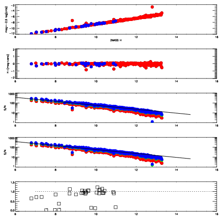
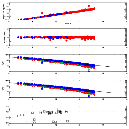
Frame | Nreads | Zeropoints | Mag plots
| Spatial mag deviation
| Spatial sky 16325A emission deviations (filled: sky, open: star)
| Spatial sky continuum emission
| Spatial sky telluric CO2 absorption deviations (filled: H < 10)
|
6620043
| 47
| | Red | Green | Blue
| z | | 18.63
| znorm | | 14.45
| sky | 14.5 | 14.1 | 14.3
| S/N | 11.3 | 19.2 | 20.7
| S/N(c) | 14.0 | 8.3 | 17.3
| SN(E/C) | 0.92
|
|
|
|
|
|
|
6620044
| 47
| | Red | Green | Blue
| z | | 18.93
| znorm | | 14.75
| sky | 14.4 | 14.3 | 14.5
| S/N | 13.7 | 23.1 | 25.1
| S/N(c) | 16.4 | 9.5 | 20.2
| SN(E/C) | 0.92
|
|
|
|
|
|
|
6620045
| 47
| | Red | Green | Blue
| z | | 18.91
| znorm | | 14.73
| sky | 14.3 | 14.3 | 14.6
| S/N | 13.4 | 22.9 | 24.7
| S/N(c) | 16.2 | 9.4 | 20.1
| SN(E/C) | 0.91
|
|
|
|
|
|
|
6620046
| 47
| | Red | Green | Blue
| z | | 19.00
| znorm | | 14.82
| sky | 14.5 | 14.4 | 14.6
| S/N | 14.2 | 24.6 | 25.9
| S/N(c) | 17.1 | 9.8 | 20.9
| SN(E/C) | 0.92
|
|
|
|
|
|
|
6620047
| 47
| | Red | Green | Blue
| z | | 18.96
| znorm | | 14.78
| sky | 14.5 | 14.4 | 14.6
| S/N | 13.8 | 23.6 | 25.2
| S/N(c) | 16.6 | 9.6 | 20.4
| SN(E/C) | 0.92
|
|
|
|
|
|
|
6620048
| 47
| | Red | Green | Blue
| z | | 18.49
| znorm | | 14.31
| sky | 14.2 | 14.3 | 14.6
| S/N | 9.8 | 17.7 | 18.9
| S/N(c) | 12.4 | 7.6 | 16.3
| SN(E/C) | 0.92
|
|
|
|
|
|
|
6620049
| 47
| | Red | Green | Blue
| z | | 17.03
| znorm | | 12.85
| sky | 14.4 | 14.5 | 15.1
| S/N | 3.0 | 6.6 | 7.4
| S/N(c) | 4.5 | 3.4 | 7.7
| SN(E/C) | 1.02
|
|
|
|
|
|
|
6620050
| 47
| | Red | Green | Blue
| z | | 13.81
| znorm | | 9.63
| sky | 14.2 | 14.2 | 14.8
| S/N | 0.3 | -0.1 | 0.0
| S/N(c) | 0.0 | 0.0 | 0.0
| SN(E/C) | 2.26
|
|
|
|
|
|
|