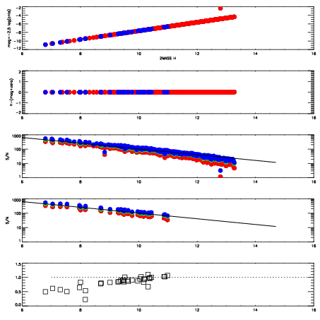
Left plots: red are targets, blue are telluric. Observed mags are calculated from median value of green chip. Zeropoint gives overall throughput: bigger number is more throughput.
First spatial plots: circles are objects, squares are tellurics, crosses are sky fibers. Colors give deviation of observed mag from expected 2MASS mag using the median zeropoint; red is brighter
Second spatial plots: circles are sky fibers. Colors give sky line brightness relative to plate median sky line brightness
FrameNreadsZeropointsMag plots Spatial mag deviation Spatial sky 16325A emission deviations (filled: sky, open: star) Spatial sky continuum emission Spatial sky telluric CO2 absorption deviations (filled: H < 10)
0 0
RedGreenBlue
z17.64
znorm Inf
sky -Inf -Inf -Inf
S/N 19.4 35.3 37.2
S/N(c) 0.0 0.0 0.0
SN(E/C) 0.87

IPAIRNAMESHIFTNEWSHIFTS/N NAMESHIFTNEWSHIFTS/N
0 06620045 0.483943 0.00000 18.9028 06620047 0.00176778 0.482175 18.9450
1 06620044 0.483887 5.59986e-05 18.9190 06620046 0.00207868 0.481864 18.9848
2 06620048 0.481716 0.00222698 18.4830 06620043 0.00000 0.483943 18.6402