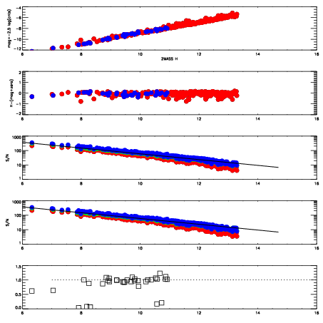
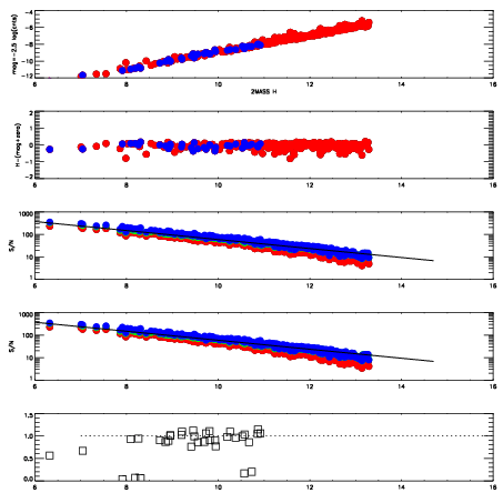
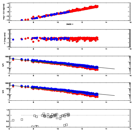
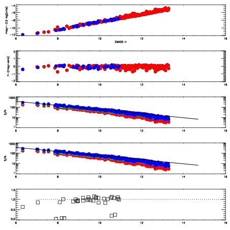
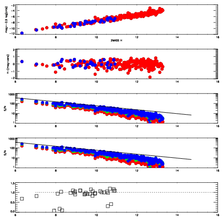
Frame | Nreads | Zeropoints | Mag plots
| Spatial mag deviation
| Spatial sky 16325A emission deviations (filled: sky, open: star)
| Spatial sky continuum emission
| Spatial sky telluric CO2 absorption deviations (filled: H < 10)
|
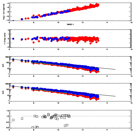
3070034
| 47
| | Red | Green | Blue
| z | | 18.96
| znorm | | 14.78
| sky | 14.7 | 14.4 | 14.4
| S/N | 15.8 | 24.7 | 26.2
| S/N(c) | 23.1 | 18.2 | 26.0
| SN(E/C) | 0.92
|
|
|
|
|
|
|
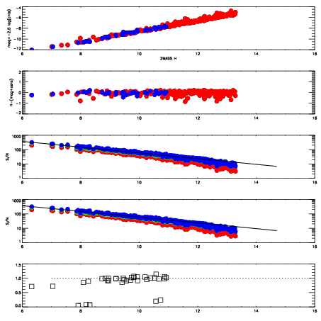
3070035
| 47
| | Red | Green | Blue
| z | | 19.01
| znorm | | 14.83
| sky | 14.8 | 14.5 | 14.8
| S/N | 16.2 | 25.6 | 27.1
| S/N(c) | 24.0 | 18.6 | 27.3
| SN(E/C) | 0.92
|
|
|
|
|
|
|
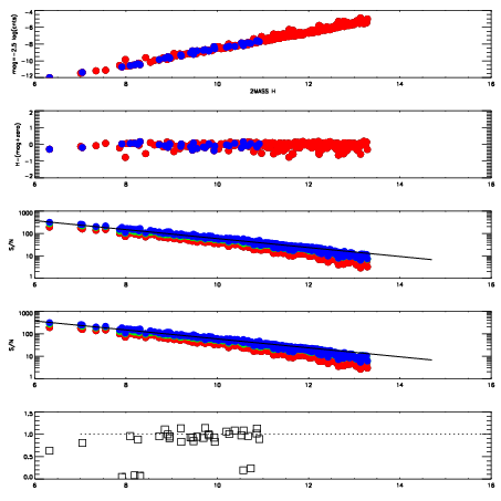
3070036
| 47
| | Red | Green | Blue
| z | | 18.89
| znorm | | 14.71
| sky | 14.7 | 14.5 | 14.8
| S/N | 15.3 | 24.1 | 25.3
| S/N(c) | 22.3 | 17.5 | 25.7
| SN(E/C) | 0.97
|
|
|
|
|
|
|
3070037
| 47
| | Red | Green | Blue
| z | | 18.61
| znorm | | 14.43
| sky | 14.7 | 14.5 | 14.7
| S/N | 12.3 | 20.4 | 21.3
| S/N(c) | 18.9 | 15.3 | 22.4
| SN(E/C) | 0.94
|
|
|
|
|
|
|
3070038
| 47
| | Red | Green | Blue
| z | | 18.50
| znorm | | 14.32
| sky | 14.6 | 14.5 | 14.7
| S/N | 11.6 | 19.4 | 20.2
| S/N(c) | 17.7 | 14.3 | 21.5
| SN(E/C) | 0.96
|
|
|
|
|
|
|
3070039
| 47
| | Red | Green | Blue
| z | | 18.61
| znorm | | 14.43
| sky | 14.6 | 14.6 | 14.8
| S/N | 12.4 | 21.0 | 22.4
| S/N(c) | 18.9 | 15.6 | 23.0
| SN(E/C) | 0.97
|
|
|
|
|
|
|
3070040
| 47
| | Red | Green | Blue
| z | | 18.51
| znorm | | 14.33
| sky | 14.8 | 14.7 | 14.8
| S/N | 12.0 | 21.1 | 22.1
| S/N(c) | 18.0 | 15.1 | 21.8
| SN(E/C) | 0.95
|
|
|
|
|
|
|
3070041
| 47
| | Red | Green | Blue
| z | | 17.59
| znorm | | 13.41
| sky | 14.9 | 14.7 | 14.8
| S/N | 6.3 | 12.1 | 12.1
| S/N(c) | 10.1 | 9.3 | 13.2
| SN(E/C) | 0.98
|
|
|
|
|
|
|