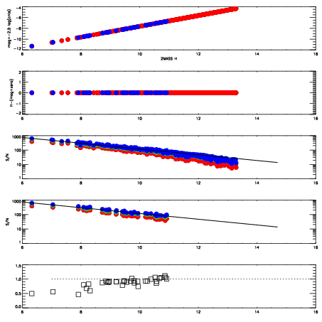
Left plots: red are targets, blue are telluric. Observed mags are calculated from median value of green chip. Zeropoint gives overall throughput: bigger number is more throughput.
First spatial plots: circles are objects, squares are tellurics, crosses are sky fibers. Colors give deviation of observed mag from expected 2MASS mag using the median zeropoint; red is brighter
Second spatial plots: circles are sky fibers. Colors give sky line brightness relative to plate median sky line brightness
FrameNreadsZeropointsMag plots Spatial mag deviation Spatial sky 16325A emission deviations (filled: sky, open: star) Spatial sky continuum emission Spatial sky telluric CO2 absorption deviations (filled: H < 10)
0 0
RedGreenBlue
z17.64
znorm Inf
sky -Inf -NaN -Inf
S/N 21.9 38.3 41.6
S/N(c) 0.0 0.0 0.0
SN(E/C) 0.91

IPAIRNAMESHIFTNEWSHIFTS/N NAMESHIFTNEWSHIFTS/N
0 03070036 0.500020 0.00000 18.8668 03070037 -0.00132009 0.501340 18.5864
1 03070035 0.499296 0.000724018 18.9870 03070034 0.00000 0.500020 18.9389
2 03070039 0.498750 0.00127003 18.6057 03070038 -0.00317010 0.503190 18.4861
3 03070040 0.498649 0.00137103 18.4711 03070041 0.00108518 0.498935 17.5137