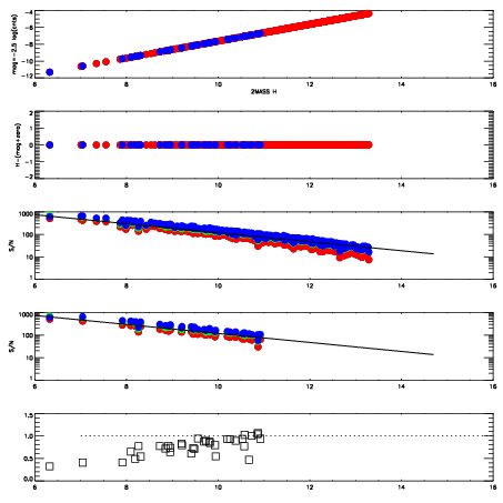
Left plots: red are targets, blue are telluric. Observed mags are calculated from median value of green chip. Zeropoint gives overall throughput: bigger number is more throughput.
First spatial plots: circles are objects, squares are tellurics, crosses are sky fibers. Colors give deviation of observed mag from expected 2MASS mag using the median zeropoint; red is brighter
Second spatial plots: circles are sky fibers. Colors give sky line brightness relative to plate median sky line brightness
FrameNreadsZeropointsMag plots Spatial mag deviation Spatial sky 16325A emission deviations (filled: sky, open: star) Spatial sky continuum emission Spatial sky telluric CO2 absorption deviations (filled: H < 10)
0 0
RedGreenBlue
z17.64
znorm Inf
sky -NaN -Inf -Inf
S/N 30.3 51.0 53.9
S/N(c) 0.0 0.0 0.0
SN(E/C) 0.78

IPAIRNAMESHIFTNEWSHIFTS/N NAMESHIFTNEWSHIFTS/N
0 06110060 0.486439 0.00000 19.1208 06110065 -2.96251e-05 0.486469 19.1025
1 06110059 0.486283 0.000155985 19.1242 06110062 -8.62269e-05 0.486525 19.1102
2 06110063 0.485242 0.00119698 19.1168 06110061 0.00151146 0.484928 19.0850
3 06110064 0.486072 0.000366986 19.0868 06110058 0.00000 0.486439 19.0783