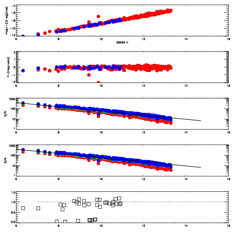
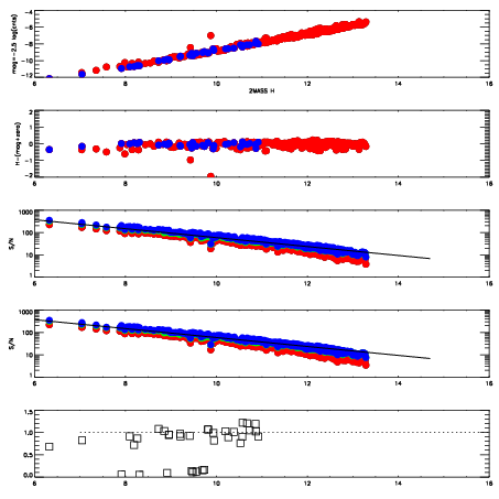
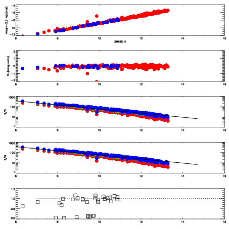
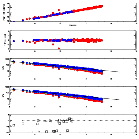
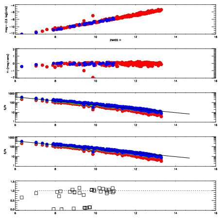
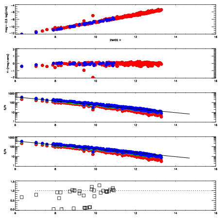
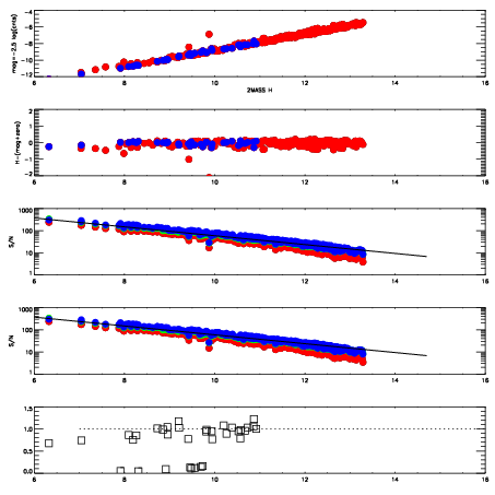
Frame | Nreads | Zeropoints | Mag plots
| Spatial mag deviation
| Spatial sky 16325A emission deviations (filled: sky, open: star)
| Spatial sky continuum emission
| Spatial sky telluric CO2 absorption deviations (filled: H < 10)
|
3090034
| 47
| | Red | Green | Blue
| z | | 18.73
| znorm | | 14.55
| sky | 14.9 | 14.7 | 14.7
| S/N | 12.5 | 20.7 | 21.9
| S/N(c) | 21.6 | 18.6 | 29.0
| SN(E/C) | 0.93
|
|
|
|
|
|
|
3090035
| 47
| | Red | Green | Blue
| z | | 18.87
| znorm | | 14.69
| sky | 14.9 | 14.6 | 14.9
| S/N | 13.5 | 22.4 | 24.1
| S/N(c) | 23.1 | 19.8 | 31.3
| SN(E/C) | 0.89
|
|
|
|
|
|
|
3090036
| 47
| | Red | Green | Blue
| z | | 18.85
| znorm | | 14.67
| sky | 14.9 | 14.8 | 14.9
| S/N | 13.2 | 22.4 | 23.9
| S/N(c) | 22.8 | 19.7 | 30.6
| SN(E/C) | 0.95
|
|
|
|
|
|
|
3090037
| 47
| | Red | Green | Blue
| z | | 18.83
| znorm | | 14.65
| sky | 15.1 | 14.8 | 14.9
| S/N | 13.4 | 22.4 | 23.7
| S/N(c) | 22.1 | 19.2 | 30.3
| SN(E/C) | 0.91
|
|
|
|
|
|
|
3090038
| 47
| | Red | Green | Blue
| z | | 18.78
| znorm | | 14.60
| sky | 15.0 | 14.9 | 15.1
| S/N | 13.0 | 22.1 | 23.4
| S/N(c) | 21.7 | 18.8 | 29.9
| SN(E/C) | 0.93
|
|
|
|
|
|
|
3090039
| 47
| | Red | Green | Blue
| z | | 18.76
| znorm | | 14.58
| sky | 15.3 | 15.1 | 14.9
| S/N | 12.5 | 21.6 | 23.1
| S/N(c) | 21.0 | 18.5 | 29.6
| SN(E/C) | 0.92
|
|
|
|
|
|
|
3090040
| 47
| | Red | Green | Blue
| z | | 18.81
| znorm | | 14.63
| sky | 15.3 | 15.0 | 14.9
| S/N | 13.1 | 22.1 | 23.6
| S/N(c) | 21.7 | 19.2 | 30.5
| SN(E/C) | 0.93
|
|
|
|
|
|
|
3090041
| 47
| | Red | Green | Blue
| z | | 18.83
| znorm | | 14.65
| sky | 15.0 | 14.9 | 15.0
| S/N | 13.3 | 22.8 | 24.1
| S/N(c) | 22.0 | 19.3 | 30.7
| SN(E/C) | 0.89
|
|
|
|
|
|
|