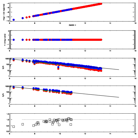
Left plots: red are targets, blue are telluric. Observed mags are calculated from median value of green chip. Zeropoint gives overall throughput: bigger number is more throughput.
First spatial plots: circles are objects, squares are tellurics, crosses are sky fibers. Colors give deviation of observed mag from expected 2MASS mag using the median zeropoint; red is brighter
Second spatial plots: circles are sky fibers. Colors give sky line brightness relative to plate median sky line brightness
FrameNreadsZeropointsMag plots Spatial mag deviation Spatial sky 16325A emission deviations (filled: sky, open: star) Spatial sky continuum emission Spatial sky telluric CO2 absorption deviations (filled: H < 10)
0 0
RedGreenBlue
z17.64
znorm Inf
sky -Inf -Inf -Inf
S/N 22.0 39.8 42.2
S/N(c) 0.0 0.0 0.0
SN(E/C) 0.85

IPAIRNAMESHIFTNEWSHIFTS/N NAMESHIFTNEWSHIFTS/N
0 06420046 0.483085 0.00000 19.0545 06420051 0.00283406 0.480251 19.0087
1 06420049 0.482205 0.000880003 18.8331 06420048 -0.000358448 0.483443 19.0018
2 06420050 0.482587 0.000497997 18.8193 06420047 0.000512891 0.482572 18.9828
3 06420045 0.482771 0.000313997 18.7915 06420044 0.00000 0.483085 18.5064