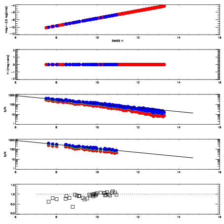
Left plots: red are targets, blue are telluric. Observed mags are calculated from median value of green chip. Zeropoint gives overall throughput: bigger number is more throughput.
First spatial plots: circles are objects, squares are tellurics, crosses are sky fibers. Colors give deviation of observed mag from expected 2MASS mag using the median zeropoint; red is brighter
Second spatial plots: circles are sky fibers. Colors give sky line brightness relative to plate median sky line brightness
FrameNreadsZeropointsMag plots Spatial mag deviation Spatial sky 16325A emission deviations (filled: sky, open: star) Spatial sky continuum emission Spatial sky telluric CO2 absorption deviations (filled: H < 10)
0 0
RedGreenBlue
z17.64
znorm Inf
sky -Inf -Inf -Inf
S/N 20.3 35.9 37.8
S/N(c) 0.0 0.0 0.0
SN(E/C) 0.94

IPAIRNAMESHIFTNEWSHIFTS/N NAMESHIFTNEWSHIFTS/N
0 02620053 0.423944 0.00000 18.0661 02620055 -0.00147676 0.425421 18.9065
1 02620057 0.423437 0.000506997 19.0294 02620054 -0.000790036 0.424734 18.9977
2 02620056 0.422410 0.00153399 18.8551 02620058 -0.000215602 0.424160 18.9776
3 02620052 0.422400 0.00154400 16.0463 02620051 0.00000 0.423944 18.3999