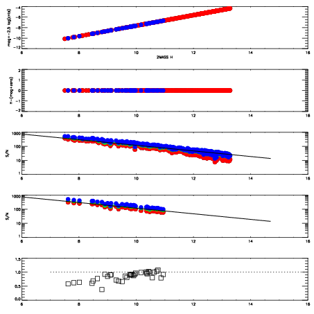
Left plots: red are targets, blue are telluric. Observed mags are calculated from median value of green chip. Zeropoint gives overall throughput: bigger number is more throughput.
First spatial plots: circles are objects, squares are tellurics, crosses are sky fibers. Colors give deviation of observed mag from expected 2MASS mag using the median zeropoint; red is brighter
Second spatial plots: circles are sky fibers. Colors give sky line brightness relative to plate median sky line brightness
FrameNreadsZeropointsMag plots Spatial mag deviation Spatial sky 16325A emission deviations (filled: sky, open: star) Spatial sky continuum emission Spatial sky telluric CO2 absorption deviations (filled: H < 10)
0 0
RedGreenBlue
z17.64
znorm Inf
sky -Inf -NaN -NaN
S/N 29.4 50.0 52.8
S/N(c) 0.0 0.0 0.0
SN(E/C) 0.90

IPAIRNAMESHIFTNEWSHIFTS/N NAMESHIFTNEWSHIFTS/N
0 03190040 0.506975 0.00000 19.0408 03190041 0.00244661 0.504528 19.0691
1 03190035 0.501836 0.00513899 19.1667 03190037 0.00219552 0.504779 19.1871
2 03190036 0.503943 0.00303197 19.1384 03190034 0.00000 0.506975 19.1805
3 03190039 0.498393 0.00858200 19.0878 03190038 0.00399426 0.502981 19.1458