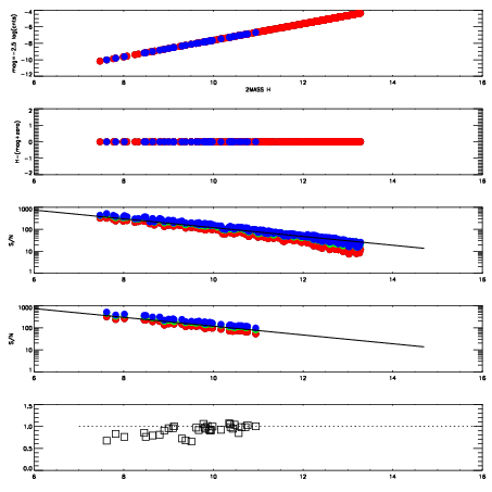
Left plots: red are targets, blue are telluric. Observed mags are calculated from median value of green chip. Zeropoint gives overall throughput: bigger number is more throughput.
First spatial plots: circles are objects, squares are tellurics, crosses are sky fibers. Colors give deviation of observed mag from expected 2MASS mag using the median zeropoint; red is brighter
Second spatial plots: circles are sky fibers. Colors give sky line brightness relative to plate median sky line brightness
FrameNreadsZeropointsMag plots Spatial mag deviation Spatial sky 16325A emission deviations (filled: sky, open: star) Spatial sky continuum emission Spatial sky telluric CO2 absorption deviations (filled: H < 10)
0 0
RedGreenBlue
z17.64
znorm Inf
sky -Inf -Inf -Inf
S/N 27.4 47.1 49.9
S/N(c) 0.0 0.0 0.0
SN(E/C) 0.95

IPAIRNAMESHIFTNEWSHIFTS/N NAMESHIFTNEWSHIFTS/N
0 03690029 0.497768 0.00000 18.8906 03690026 0.00172045 0.496048 18.9661
1 03690024 0.495470 0.00229803 19.0547 03690023 0.00000 0.497768 19.0949
2 03690025 0.497742 2.60174e-05 18.9924 03690027 0.00190912 0.495859 19.0423
3 03690028 0.496362 0.00140601 18.9655 03690030 0.00266338 0.495105 18.9874