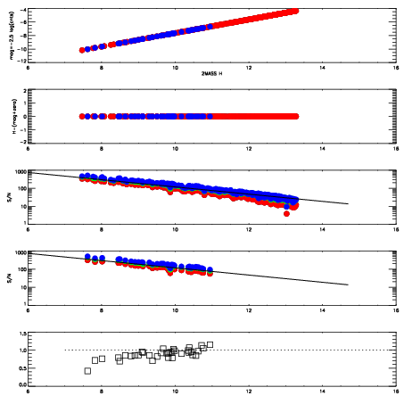
Left plots: red are targets, blue are telluric. Observed mags are calculated from median value of green chip. Zeropoint gives overall throughput: bigger number is more throughput.
First spatial plots: circles are objects, squares are tellurics, crosses are sky fibers. Colors give deviation of observed mag from expected 2MASS mag using the median zeropoint; red is brighter
Second spatial plots: circles are sky fibers. Colors give sky line brightness relative to plate median sky line brightness
FrameNreadsZeropointsMag plots Spatial mag deviation Spatial sky 16325A emission deviations (filled: sky, open: star) Spatial sky continuum emission Spatial sky telluric CO2 absorption deviations (filled: H < 10)
0 0
RedGreenBlue
z17.64
znorm Inf
sky -Inf -Inf -Inf
S/N 30.4 48.9 51.2
S/N(c) 0.0 0.0 0.0
SN(E/C) 0.91

IPAIRNAMESHIFTNEWSHIFTS/N NAMESHIFTNEWSHIFTS/N
0 03940012 0.504431 0.00000 19.0251 03940010 0.00000 0.504431 19.0636
1 03940011 0.503511 0.000919998 19.0223 03940017 -0.000533539 0.504965 19.0245
2 03940015 0.501845 0.00258601 19.0069 03940014 -0.000843556 0.505275 18.9835
3 03940016 0.500960 0.00347102 19.0017 03940013 0.000543813 0.503887 18.9760