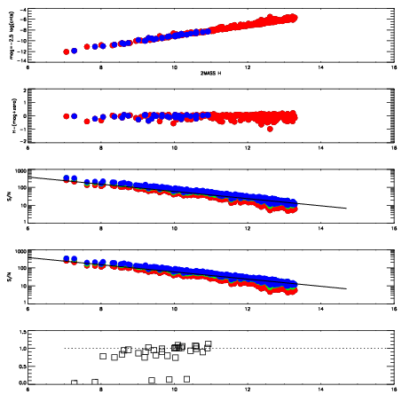
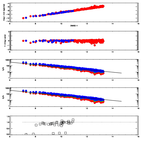
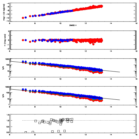
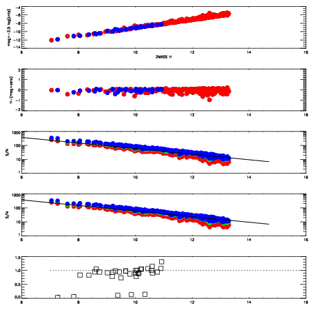
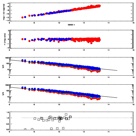
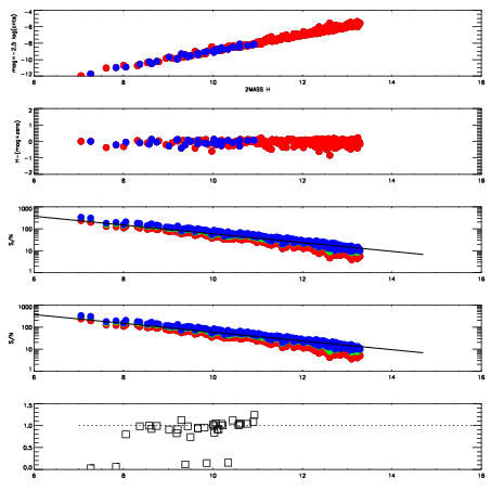
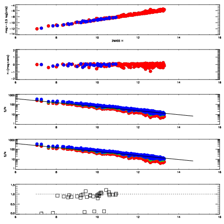
Frame | Nreads | Zeropoints | Mag plots
| Spatial mag deviation
| Spatial sky 16325A emission deviations (filled: sky, open: star)
| Spatial sky continuum emission
| Spatial sky telluric CO2 absorption deviations (filled: H < 10)
|
2870064
| 47
| | Red | Green | Blue
| z | | 19.00
| znorm | | 14.82
| sky | 14.6 | 14.5 | 14.5
| S/N | 14.9 | 24.2 | 25.5
| S/N(c) | 22.6 | 25.8 | 41.9
| SN(E/C) | 0.95
|
|
|
|
|
|
|
2870065
| 47
| | Red | Green | Blue
| z | | 19.04
| znorm | | 14.86
| sky | 14.8 | 14.6 | 14.9
| S/N | 15.5 | 24.8 | 26.8
| S/N(c) | 22.9 | 26.6 | 43.6
| SN(E/C) | 0.95
|
|
|
|
|
|
|
2870066
| 47
| | Red | Green | Blue
| z | | 19.05
| znorm | | 14.87
| sky | 14.8 | 14.7 | 14.8
| S/N | 16.0 | 24.7 | 27.3
| S/N(c) | 23.0 | 27.1 | 43.9
| SN(E/C) | 0.95
|
|
|
|
|
|
|
2870067
| 47
| | Red | Green | Blue
| z | | 19.09
| znorm | | 14.91
| sky | 14.7 | 14.8 | 14.8
| S/N | 16.0 | 25.3 | 27.8
| S/N(c) | 23.6 | 27.7 | 45.0
| SN(E/C) | 0.94
|
|
|
|
|
|
|
2870068
| 47
| | Red | Green | Blue
| z | | 19.13
| znorm | | 14.95
| sky | 14.8 | 14.8 | 14.8
| S/N | 16.9 | 25.6 | 28.3
| S/N(c) | 23.9 | 28.1 | 45.1
| SN(E/C) | 0.94
|
|
|
|
|
|
|
2870069
| 47
| | Red | Green | Blue
| z | | 19.15
| znorm | | 14.97
| sky | 14.9 | 14.8 | 14.7
| S/N | 16.8 | 25.7 | 28.8
| S/N(c) | 24.1 | 28.4 | 45.7
| SN(E/C) | 0.94
|
|
|
|
|
|
|
2870070
| 47
| | Red | Green | Blue
| z | | 19.11
| znorm | | 14.93
| sky | 14.7 | 14.9 | 14.9
| S/N | 16.6 | 25.5 | 28.3
| S/N(c) | 23.9 | 28.1 | 45.2
| SN(E/C) | 0.95
|
|
|
|
|
|
|
2870071
| 47
| | Red | Green | Blue
| z | | 19.12
| znorm | | 14.94
| sky | 15.0 | 14.8 | 14.9
| S/N | 16.6 | 25.5 | 28.6
| S/N(c) | 23.9 | 28.0 | 45.5
| SN(E/C) | 0.90
|
|
|
|
|
|
|