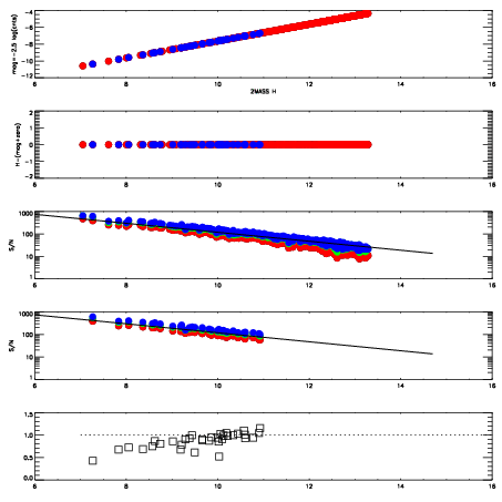
Left plots: red are targets, blue are telluric. Observed mags are calculated from median value of green chip. Zeropoint gives overall throughput: bigger number is more throughput.
First spatial plots: circles are objects, squares are tellurics, crosses are sky fibers. Colors give deviation of observed mag from expected 2MASS mag using the median zeropoint; red is brighter
Second spatial plots: circles are sky fibers. Colors give sky line brightness relative to plate median sky line brightness
FrameNreadsZeropointsMag plots Spatial mag deviation Spatial sky 16325A emission deviations (filled: sky, open: star) Spatial sky continuum emission Spatial sky telluric CO2 absorption deviations (filled: H < 10)
0 0
RedGreenBlue
z17.64
znorm Inf
sky -NaN -NaN -Inf
S/N 28.2 46.3 51.0
S/N(c) 0.0 0.0 0.0
SN(E/C) 0.91

IPAIRNAMESHIFTNEWSHIFTS/N NAMESHIFTNEWSHIFTS/N
0 02870070 0.414504 0.00000 19.0884 02870071 0.00192024 0.412584 19.0951
1 02870069 0.413167 0.00133699 19.1259 02870068 -0.000345949 0.414850 19.1026
2 02870066 0.413686 0.000817984 19.0269 02870067 0.00146819 0.413036 19.0617
3 02870065 0.412262 0.00224200 19.0173 02870064 0.00000 0.414504 18.9741