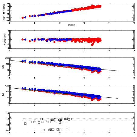
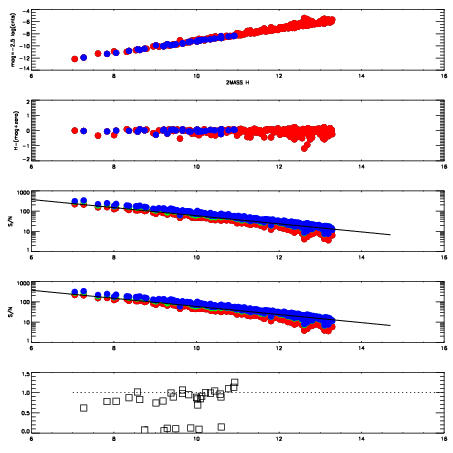
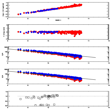
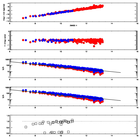
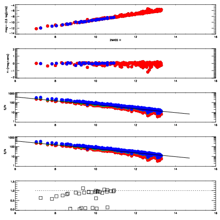
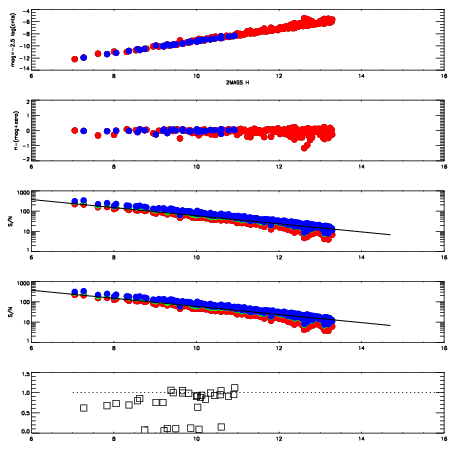
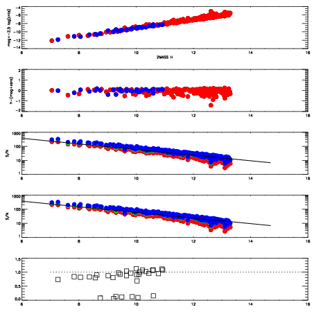
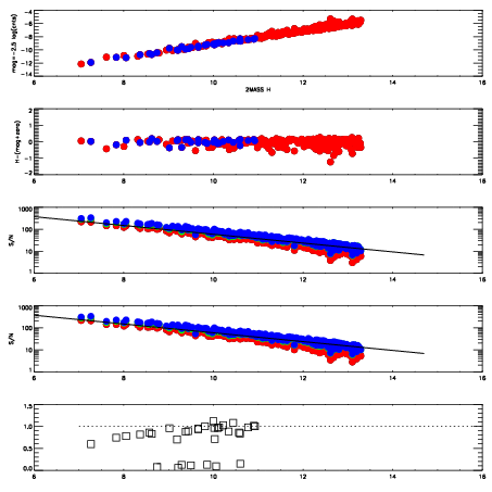
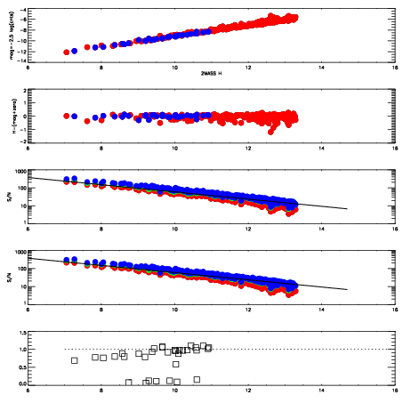
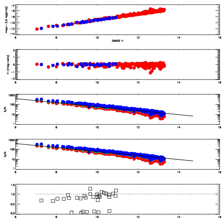
Frame | Nreads | Zeropoints | Mag plots
| Spatial mag deviation
| Spatial sky 16325A emission deviations (filled: sky, open: star)
| Spatial sky continuum emission
| Spatial sky telluric CO2 absorption deviations (filled: H < 10)
|
2910010
| 47
| | Red | Green | Blue
| z | | 19.10
| znorm | | 14.92
| sky | 15.0 | 14.7 | 14.5
| S/N | 16.1 | 27.0 | 28.0
| S/N(c) | 6.9 | 2.4 | 18.0
| SN(E/C) | 0.92
|
|
|
|
|
|
|
2910011
| 47
| | Red | Green | Blue
| z | | 19.15
| znorm | | 14.97
| sky | 15.3 | 15.0 | 14.9
| S/N | 15.9 | 26.9 | 28.6
| S/N(c) | 7.0 | 2.4 | 18.4
| SN(E/C) | 0.86
|
|
|
|
|
|
|
2910012
| 47
| | Red | Green | Blue
| z | | 19.13
| znorm | | 14.95
| sky | 15.2 | 15.2 | 15.2
| S/N | 15.7 | 27.1 | 28.2
| S/N(c) | 7.0 | 2.4 | 18.2
| SN(E/C) | 0.90
|
|
|
|
|
|
|
2910013
| 47
| | Red | Green | Blue
| z | | 19.11
| znorm | | 14.93
| sky | 15.7 | 15.1 | 15.1
| S/N | 14.8 | 26.1 | 27.9
| S/N(c) | 7.0 | 2.4 | 18.3
| SN(E/C) | 0.92
|
|
|
|
|
|
|
2910014
| 47
| | Red | Green | Blue
| z | | 19.14
| znorm | | 14.96
| sky | 15.0 | 15.3 | 15.0
| S/N | 15.0 | 26.5 | 28.3
| S/N(c) | 7.2 | 2.4 | 18.8
| SN(E/C) | 0.85
|
|
|
|
|
|
|
2910015
| 47
| | Red | Green | Blue
| z | | 19.16
| znorm | | 14.98
| sky | 15.2 | 15.4 | 15.4
| S/N | 15.5 | 26.7 | 28.7
| S/N(c) | 7.1 | 2.4 | 18.8
| SN(E/C) | 0.89
|
|
|
|
|
|
|
2910016
| 47
| | Red | Green | Blue
| z | | 19.20
| znorm | | 15.02
| sky | 15.1 | 15.2 | 15.3
| S/N | 15.8 | 27.2 | 29.2
| S/N(c) | 7.3 | 2.5 | 19.2
| SN(E/C) | 0.84
|
|
|
|
|
|
|
2910017
| 47
| | Red | Green | Blue
| z | | 19.22
| znorm | | 15.04
| sky | 15.4 | 15.3 | 15.6
| S/N | 16.2 | 28.0 | 29.9
| S/N(c) | 7.4 | 2.5 | 19.6
| SN(E/C) | 0.90
|
|
|
|
|
|
|
2910018
| 47
| | Red | Green | Blue
| z | | 19.21
| znorm | | 15.03
| sky | 15.5 | 15.6 | 15.5
| S/N | 16.3 | 27.8 | 29.6
| S/N(c) | 7.3 | 2.5 | 19.6
| SN(E/C) | 0.87
|
|
|
|
|
|
|
2910019
| 47
| | Red | Green | Blue
| z | | 19.22
| znorm | | 15.04
| sky | 15.2 | 15.4 | 15.5
| S/N | 16.1 | 27.9 | 29.9
| S/N(c) | 7.4 | 2.5 | 20.2
| SN(E/C) | 0.85
|
|
|
|
|
|
|