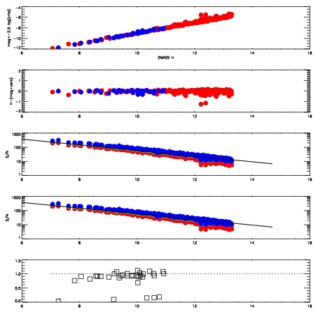
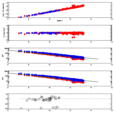
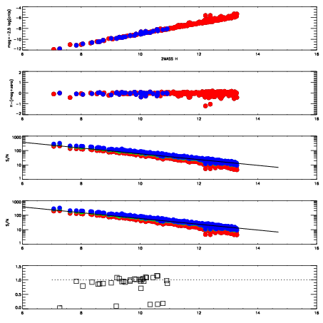
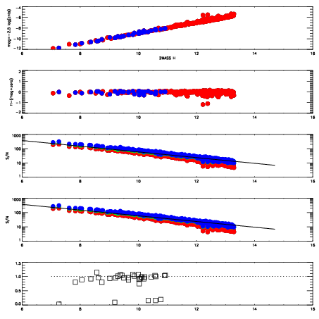
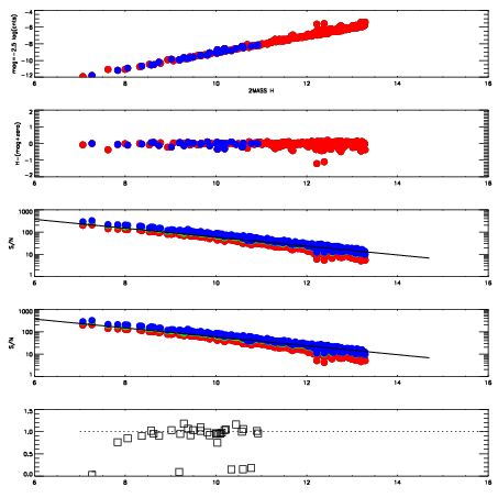
Frame | Nreads | Zeropoints | Mag plots
| Spatial mag deviation
| Spatial sky 16325A emission deviations (filled: sky, open: star)
| Spatial sky continuum emission
| Spatial sky telluric CO2 absorption deviations (filled: H < 10)
|
2900047
| 47
| | Red | Green | Blue
| z | | 19.05
| znorm | | 14.87
| sky | 14.6 | 14.6 | 14.7
| S/N | 15.4 | 25.0 | 25.7
| S/N(c) | 17.0 | 11.5 | 39.9
| SN(E/C) | 0.94
|
|
|
|
|
|
|
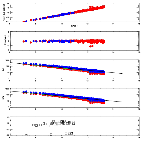
2900048
| 47
| | Red | Green | Blue
| z | | 19.07
| znorm | | 14.89
| sky | 14.9 | 14.7 | 14.7
| S/N | 15.3 | 25.2 | 25.7
| S/N(c) | 17.0 | 11.5 | 40.5
| SN(E/C) | 0.95
|
|
|
|
|
|
|
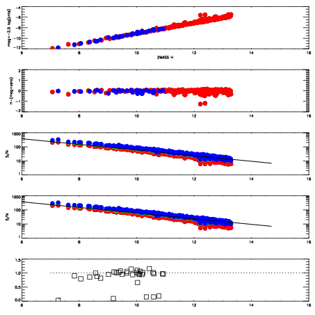
2900049
| 47
| | Red | Green | Blue
| z | | 19.11
| znorm | | 14.93
| sky | 14.8 | 14.7 | 14.8
| S/N | 15.9 | 25.7 | 26.3
| S/N(c) | 17.5 | 11.8 | 41.4
| SN(E/C) | 0.97
|
|
|
|
|
|
|
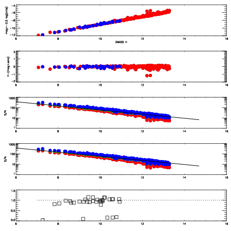
2900050
| 47
| | Red | Green | Blue
| z | | 19.03
| znorm | | 14.85
| sky | 15.0 | 14.7 | 14.9
| S/N | 15.1 | 24.9 | 25.2
| S/N(c) | 16.9 | 11.4 | 39.4
| SN(E/C) | 0.95
|
|
|
|
|
|
|
2900051
| 47
| | Red | Green | Blue
| z | | 18.99
| znorm | | 14.81
| sky | 14.7 | 14.7 | 14.9
| S/N | 14.6 | 24.0 | 24.9
| S/N(c) | 16.6 | 11.2 | 38.5
| SN(E/C) | 0.95
|
|
|
|
|
|
|
2900052
| 47
| | Red | Green | Blue
| z | | 19.05
| znorm | | 14.87
| sky | 14.6 | 14.7 | 14.8
| S/N | 15.2 | 25.2 | 25.8
| S/N(c) | 17.2 | 11.6 | 39.7
| SN(E/C) | 0.92
|
|
|
|
|
|
|
2900053
| 47
| | Red | Green | Blue
| z | | 19.07
| znorm | | 14.89
| sky | 14.9 | 14.7 | 14.9
| S/N | 15.9 | 25.3 | 26.2
| S/N(c) | 17.3 | 11.7 | 40.4
| SN(E/C) | 0.96
|
|
|
|
|
|
|
2900054
| 47
| | Red | Green | Blue
| z | | 19.02
| znorm | | 14.84
| sky | 14.8 | 14.8 | 14.9
| S/N | 15.1 | 24.6 | 25.3
| S/N(c) | 16.6 | 11.2 | 39.6
| SN(E/C) | 0.95
|
|
|
|
|
|
|