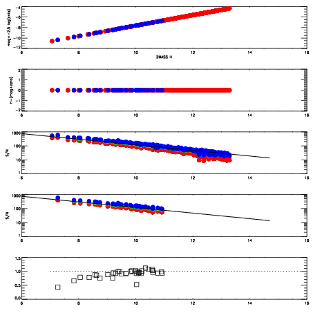
Left plots: red are targets, blue are telluric. Observed mags are calculated from median value of green chip. Zeropoint gives overall throughput: bigger number is more throughput.
First spatial plots: circles are objects, squares are tellurics, crosses are sky fibers. Colors give deviation of observed mag from expected 2MASS mag using the median zeropoint; red is brighter
Second spatial plots: circles are sky fibers. Colors give sky line brightness relative to plate median sky line brightness
FrameNreadsZeropointsMag plots Spatial mag deviation Spatial sky 16325A emission deviations (filled: sky, open: star) Spatial sky continuum emission Spatial sky telluric CO2 absorption deviations (filled: H < 10)
0 0
RedGreenBlue
z17.64
znorm Inf
sky -Inf -NaN -Inf
S/N 26.1 44.9 47.0
S/N(c) 0.0 0.0 0.0
SN(E/C) 0.93

IPAIRNAMESHIFTNEWSHIFTS/N NAMESHIFTNEWSHIFTS/N
0 02900053 0.400648 0.00000 19.0665 02900050 0.00120639 0.399442 19.0227
1 02900049 0.400148 0.000499994 19.0963 02900047 0.00000 0.400648 19.0375
2 02900048 0.399230 0.00141799 19.0576 02900054 0.00222612 0.398422 19.0097
3 02900052 0.399001 0.00164700 19.0283 02900051 -0.000239973 0.400888 18.9712