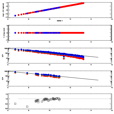
Left plots: red are targets, blue are telluric. Observed mags are calculated from median value of green chip. Zeropoint gives overall throughput: bigger number is more throughput.
First spatial plots: circles are objects, squares are tellurics, crosses are sky fibers. Colors give deviation of observed mag from expected 2MASS mag using the median zeropoint; red is brighter
Second spatial plots: circles are sky fibers. Colors give sky line brightness relative to plate median sky line brightness
FrameNreadsZeropointsMag plots Spatial mag deviation Spatial sky 16325A emission deviations (filled: sky, open: star) Spatial sky continuum emission Spatial sky telluric CO2 absorption deviations (filled: H < 10)
0 0
RedGreenBlue
z17.64
znorm Inf
sky -Inf -Inf -Inf
S/N 24.4 41.9 45.7
S/N(c) 0.0 0.0 0.0
SN(E/C) 0.93

IPAIRNAMESHIFTNEWSHIFTS/N NAMESHIFTNEWSHIFTS/N
0 02620068 0.426896 0.00000 16.7371 02620066 0.00000 0.426896 17.9597
1 02620071 0.421302 0.00559402 19.0737 02620070 -0.00110664 0.428003 18.9397
2 02620075 0.420438 0.00645801 18.9079 02620074 -0.000150134 0.427046 18.9062
3 02620072 0.426045 0.000851005 18.9010 02620073 0.00152211 0.425374 18.8851
4 02620067 0.420135 0.00676101 18.2268 02620069 0.000842880 0.426053 18.8565