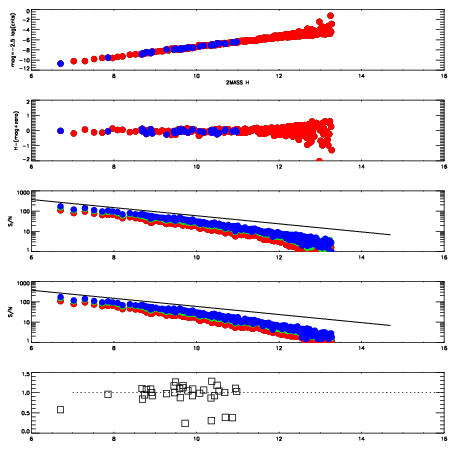
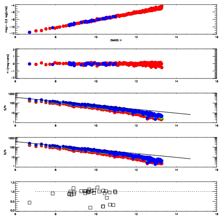
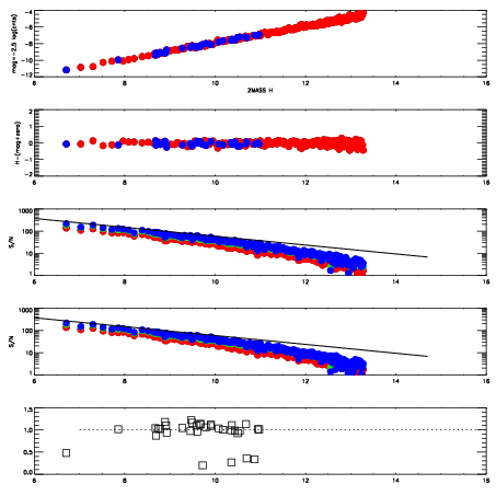
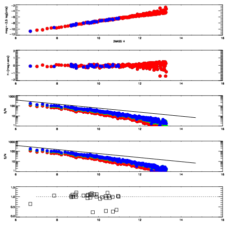
Frame | Nreads | Zeropoints | Mag plots
| Spatial mag deviation
| Spatial sky 16325A emission deviations (filled: sky, open: star)
| Spatial sky continuum emission
| Spatial sky telluric CO2 absorption deviations (filled: H < 10)
|
3150023
| 47
| | Red | Green | Blue
| z | | 17.94
| znorm | | 13.76
| sky | 12.6 | 12.5 | 12.5
| S/N | 5.7 | 9.3 | 10.7
| S/N(c) | 4.7 | 20.1 | 14.8
| SN(E/C) | 1.02
|
|
|
|
|
|
|
3150024
| 47
| | Red | Green | Blue
| z | | 18.20
| znorm | | 14.02
| sky | 12.8 | 12.7 | 12.9
| S/N | 7.5 | 12.2 | 13.6
| S/N(c) | 6.0 | 24.5 | 18.5
| SN(E/C) | 0.95
|
|
|
|
|
|
|
3150025
| 47
| | Red | Green | Blue
| z | | 17.50
| znorm | | 13.32
| sky | 12.2 | 12.1 | 12.2
| S/N | 3.5 | 6.2 | 6.4
| S/N(c) | 3.0 | 13.1 | 10.0
| SN(E/C) | 1.01
|
|
|
|
|
|
|
3150026
| 47
| | Red | Green | Blue
| z | | 17.43
| znorm | | 13.25
| sky | 12.3 | 12.3 | 12.4
| S/N | 3.4 | 6.1 | 6.4
| S/N(c) | 3.0 | 13.1 | 10.0
| SN(E/C) | 1.00
|
|
|
|
|
|
|
3150027
| 47
| | Red | Green | Blue
| z | | 14.52
| znorm | | 10.34
| sky | 12.3 | 12.3 | 12.5
| S/N | 0.2 | 0.3 | 0.0
| S/N(c) | 0.0 | 0.0 | 0.0
| SN(E/C) | 4.65
|
|
|
|
|
|
|
3150028
| 47
| | Red | Green | Blue
| z | | 14.13
| znorm | | 9.95
| sky | 12.6 | 12.7 | 13.0
| S/N | -0.1 | -0.5 | -0.5
| S/N(c) | 0.0 | 0.0 | 0.0
| SN(E/C) | 10.00
|
|
|
|
|
|
|
3150029
| 47
| | Red | Green | Blue
| z | | 14.87
| znorm | | 10.69
| sky | 12.1 | 12.1 | 12.3
| S/N | -0.1 | -0.5 | -1.5
| S/N(c) | 0.0 | 0.0 | 0.0
| SN(E/C) | 9.58
|
|
|
|
|
|
|
3150030
| 47
| | Red | Green | Blue
| z | | 14.84
| znorm | | 10.66
| sky | 12.1 | 12.2 | 12.3
| S/N | -0.3 | -0.3 | -1.5
| S/N(c) | 0.0 | 0.0 | 0.0
| SN(E/C) | 8.87
|
|
|
|
|
|
|