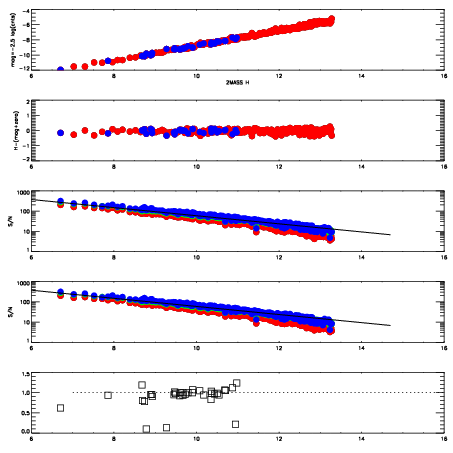
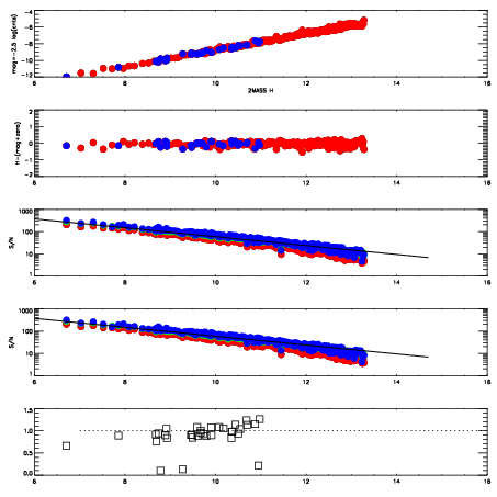
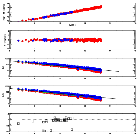
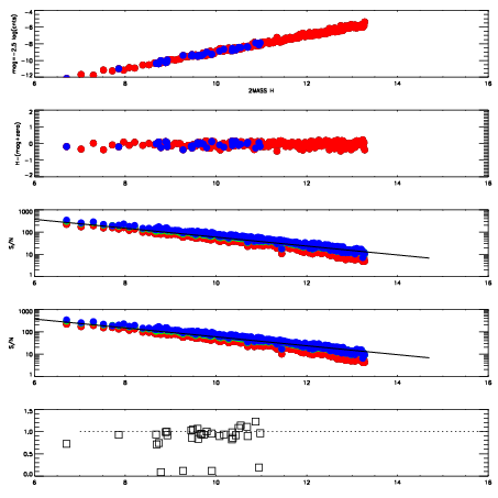
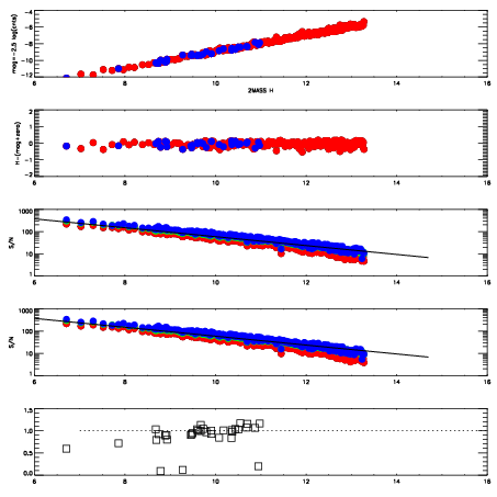
Frame | Nreads | Zeropoints | Mag plots
| Spatial mag deviation
| Spatial sky 16325A emission deviations (filled: sky, open: star)
| Spatial sky continuum emission
| Spatial sky telluric CO2 absorption deviations (filled: H < 10)
|
3210029
| 47
| | Red | Green | Blue
| z | | 18.84
| znorm | | 14.66
| sky | 14.9 | 14.5 | 14.5
| S/N | 13.6 | 22.7 | 23.7
| S/N(c) | 9.7 | 37.6 | 28.2
| SN(E/C) | 0.92
|
|
|
|
|
|
|
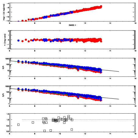
3210030
| 47
| | Red | Green | Blue
| z | | 19.06
| znorm | | 14.88
| sky | 14.7 | 14.9 | 15.1
| S/N | 15.6 | 25.5 | 27.5
| S/N(c) | 10.8 | 42.0 | 31.7
| SN(E/C) | 0.94
|
|
|
|
|
|
|
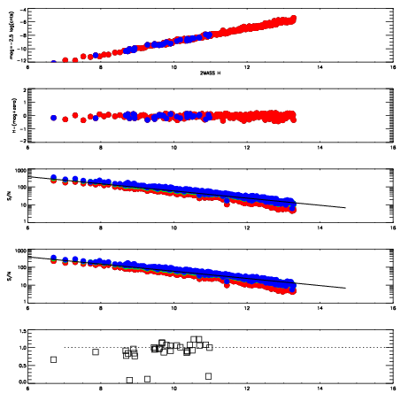
3210031
| 47
| | Red | Green | Blue
| z | | 18.82
| znorm | | 14.64
| sky | 14.8 | 14.6 | 15.0
| S/N | 13.0 | 22.3 | 23.7
| S/N(c) | 9.5 | 37.4 | 28.1
| SN(E/C) | 0.96
|
|
|
|
|
|
|
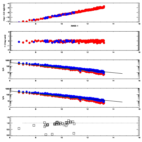
3210032
| 47
| | Red | Green | Blue
| z | | 19.03
| znorm | | 14.85
| sky | 14.6 | 14.8 | 14.9
| S/N | 14.9 | 24.8 | 27.3
| S/N(c) | 10.6 | 41.6 | 31.3
| SN(E/C) | 0.95
|
|
|
|
|
|
|
3210033
| 47
| | Red | Green | Blue
| z | | 19.00
| znorm | | 14.82
| sky | 14.8 | 14.8 | 15.3
| S/N | 14.7 | 24.4 | 27.2
| S/N(c) | 10.5 | 41.2 | 31.2
| SN(E/C) | 0.97
|
|
|
|
|
|
|
3210034
| 47
| | Red | Green | Blue
| z | | 19.04
| znorm | | 14.86
| sky | 14.8 | 14.7 | 15.1
| S/N | 15.0 | 25.2 | 27.4
| S/N(c) | 10.6 | 41.8 | 32.0
| SN(E/C) | 0.92
|
|
|
|
|
|
|
3210035
| 47
| | Red | Green | Blue
| z | | 19.04
| znorm | | 14.86
| sky | 14.9 | 14.8 | 15.1
| S/N | 14.8 | 25.1 | 27.2
| S/N(c) | 10.6 | 42.0 | 32.1
| SN(E/C) | 0.93
|
|
|
|
|
|
|
3210036
| 47
| | Red | Green | Blue
| z | | 19.11
| znorm | | 14.93
| sky | 14.8 | 15.0 | 15.0
| S/N | 15.5 | 25.7 | 27.6
| S/N(c) | 11.1 | 43.5 | 33.4
| SN(E/C) | 0.93
|
|
|
|
|
|
|