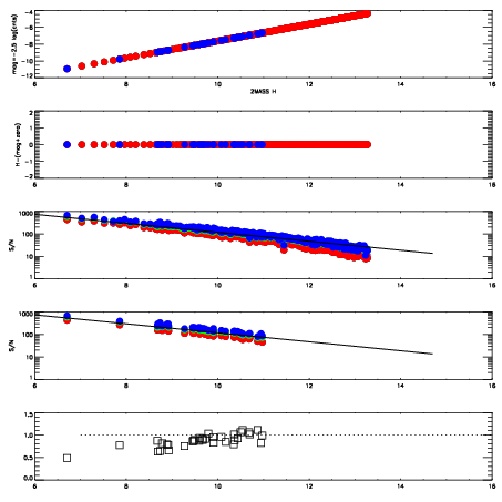
Left plots: red are targets, blue are telluric. Observed mags are calculated from median value of green chip. Zeropoint gives overall throughput: bigger number is more throughput.
First spatial plots: circles are objects, squares are tellurics, crosses are sky fibers. Colors give deviation of observed mag from expected 2MASS mag using the median zeropoint; red is brighter
Second spatial plots: circles are sky fibers. Colors give sky line brightness relative to plate median sky line brightness
FrameNreadsZeropointsMag plots Spatial mag deviation Spatial sky 16325A emission deviations (filled: sky, open: star) Spatial sky continuum emission Spatial sky telluric CO2 absorption deviations (filled: H < 10)
0 0
RedGreenBlue
z17.64
znorm Inf
sky -Inf -Inf -NaN
S/N 25.4 45.9 50.0
S/N(c) 0.0 0.0 0.0
SN(E/C) 0.87

IPAIRNAMESHIFTNEWSHIFTS/N NAMESHIFTNEWSHIFTS/N
0 03210035 0.504424 0.00000 19.0204 03210033 0.000349020 0.504075 18.9934
1 03210030 0.501616 0.00280797 19.0406 03210036 0.00124907 0.503175 19.0867
2 03210034 0.501205 0.00321895 19.0276 03210032 0.00194918 0.502475 19.0160
3 03210031 0.503490 0.000934005 18.7952 03210029 0.00000 0.504424 18.8182