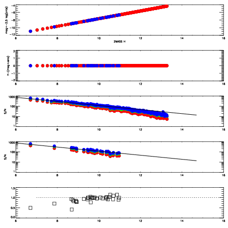
Left plots: red are targets, blue are telluric. Observed mags are calculated from median value of green chip. Zeropoint gives overall throughput: bigger number is more throughput.
First spatial plots: circles are objects, squares are tellurics, crosses are sky fibers. Colors give deviation of observed mag from expected 2MASS mag using the median zeropoint; red is brighter
Second spatial plots: circles are sky fibers. Colors give sky line brightness relative to plate median sky line brightness
FrameNreadsZeropointsMag plots Spatial mag deviation Spatial sky 16325A emission deviations (filled: sky, open: star) Spatial sky continuum emission Spatial sky telluric CO2 absorption deviations (filled: H < 10)
0 0
RedGreenBlue
z17.64
znorm Inf
sky -Inf -Inf -NaN
S/N 18.8 31.5 34.9
S/N(c) 0.0 0.0 0.0
SN(E/C) 0.96

IPAIRNAMESHIFTNEWSHIFTS/N NAMESHIFTNEWSHIFTS/N
0 03420031 0.496426 0.00000 18.4539 03420028 0.00102517 0.495401 18.5721
1 03420026 0.491889 0.00453699 18.9379 03420025 0.00000 0.496426 18.7944
2 03420027 0.493975 0.00245097 18.7983 03420029 0.000379322 0.496047 18.6627
3 03420030 0.493929 0.00249699 18.6501 03420032 0.00277049 0.493656 18.5853