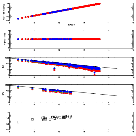
Left plots: red are targets, blue are telluric. Observed mags are calculated from median value of green chip. Zeropoint gives overall throughput: bigger number is more throughput.
First spatial plots: circles are objects, squares are tellurics, crosses are sky fibers. Colors give deviation of observed mag from expected 2MASS mag using the median zeropoint; red is brighter
Second spatial plots: circles are sky fibers. Colors give sky line brightness relative to plate median sky line brightness
FrameNreadsZeropointsMag plots Spatial mag deviation Spatial sky 16325A emission deviations (filled: sky, open: star) Spatial sky continuum emission Spatial sky telluric CO2 absorption deviations (filled: H < 10)
0 0
RedGreenBlue
z17.64
znorm Inf
sky -Inf -Inf -Inf
S/N 14.2 26.7 27.7
S/N(c) 0.0 0.0 0.0
SN(E/C) 1.01

IPAIRNAMESHIFTNEWSHIFTS/N NAMESHIFTNEWSHIFTS/N
0 03220016 0.510103 0.00000 14.4122 03220017 0.00224982 0.507853 17.0240
1 03220011 0.507831 0.00227201 19.0098 03220010 0.00000 0.510103 18.5104
2 03220012 0.509312 0.000791013 18.9852 03220013 0.00204207 0.508061 17.9621
3 03220015 0.508260 0.00184298 17.6917 03220014 0.00102081 0.509082 17.9073