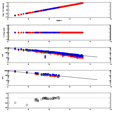
Left plots: red are targets, blue are telluric. Observed mags are calculated from median value of green chip. Zeropoint gives overall throughput: bigger number is more throughput.
First spatial plots: circles are objects, squares are tellurics, crosses are sky fibers. Colors give deviation of observed mag from expected 2MASS mag using the median zeropoint; red is brighter
Second spatial plots: circles are sky fibers. Colors give sky line brightness relative to plate median sky line brightness
FrameNreadsZeropointsMag plots Spatial mag deviation Spatial sky 16325A emission deviations (filled: sky, open: star) Spatial sky continuum emission Spatial sky telluric CO2 absorption deviations (filled: H < 10)
0 0
RedGreenBlue
z17.64
znorm Inf
sky -Inf -Inf -NaN
S/N 23.9 43.5 45.2
S/N(c) 0.0 0.0 0.0
SN(E/C) 0.92

IPAIRNAMESHIFTNEWSHIFTS/N NAMESHIFTNEWSHIFTS/N
0 03480031 0.500374 0.00000 18.9527 03480028 0.00114121 0.499233 18.9574
1 03480026 0.498829 0.00154501 19.0521 03480025 0.00000 0.500374 19.0712
2 03480030 0.498992 0.00138202 19.0263 03480029 0.000617379 0.499757 19.0475
3 03480027 0.499827 0.000547022 18.7966 03480032 0.000581016 0.499793 18.9504