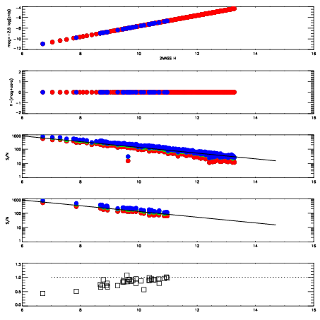
Left plots: red are targets, blue are telluric. Observed mags are calculated from median value of green chip. Zeropoint gives overall throughput: bigger number is more throughput.
First spatial plots: circles are objects, squares are tellurics, crosses are sky fibers. Colors give deviation of observed mag from expected 2MASS mag using the median zeropoint; red is brighter
Second spatial plots: circles are sky fibers. Colors give sky line brightness relative to plate median sky line brightness
FrameNreadsZeropointsMag plots Spatial mag deviation Spatial sky 16325A emission deviations (filled: sky, open: star) Spatial sky continuum emission Spatial sky telluric CO2 absorption deviations (filled: H < 10)
0 0
RedGreenBlue
z17.64
znorm Inf
sky -Inf -Inf -Inf
S/N 31.1 55.9 58.3
S/N(c) 0.0 0.0 0.0
SN(E/C) 0.87

IPAIRNAMESHIFTNEWSHIFTS/N NAMESHIFTNEWSHIFTS/N
0 03640050 0.504477 0.00000 19.0877 03640052 -0.000937245 0.505414 19.1003
1 03640045 0.500338 0.00413901 19.2080 03640047 0.000365443 0.504112 19.1782
2 03640046 0.502160 0.00231701 19.2066 03640044 0.00000 0.504477 19.1472
3 03640049 0.501446 0.00303102 19.1556 03640051 0.000188004 0.504289 19.1417
4 03640053 0.501180 0.00329703 19.1236 03640048 -0.000828060 0.505305 19.1316