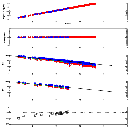
Left plots: red are targets, blue are telluric. Observed mags are calculated from median value of green chip. Zeropoint gives overall throughput: bigger number is more throughput.
First spatial plots: circles are objects, squares are tellurics, crosses are sky fibers. Colors give deviation of observed mag from expected 2MASS mag using the median zeropoint; red is brighter
Second spatial plots: circles are sky fibers. Colors give sky line brightness relative to plate median sky line brightness
FrameNreadsZeropointsMag plots Spatial mag deviation Spatial sky 16325A emission deviations (filled: sky, open: star) Spatial sky continuum emission Spatial sky telluric CO2 absorption deviations (filled: H < 10)
0 0
RedGreenBlue
z17.64
znorm Inf
sky -Inf -Inf -Inf
S/N 26.6 47.0 49.2
S/N(c) 0.0 0.0 0.0
SN(E/C) 0.94

IPAIRNAMESHIFTNEWSHIFTS/N NAMESHIFTNEWSHIFTS/N
0 03180012 0.507156 0.00000 18.8487 03180017 0.00300037 0.504156 18.9024
1 03180016 0.502544 0.00461203 18.9648 03180013 0.00448193 0.502674 18.9315
2 03180015 0.500999 0.00615704 18.9370 03180014 0.00383644 0.503320 18.9281
3 03180011 0.505311 0.00184500 18.7903 03180010 0.00000 0.507156 18.7959