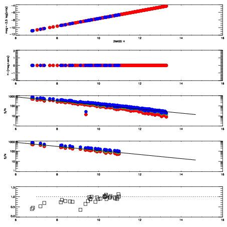
Left plots: red are targets, blue are telluric. Observed mags are calculated from median value of green chip. Zeropoint gives overall throughput: bigger number is more throughput.
First spatial plots: circles are objects, squares are tellurics, crosses are sky fibers. Colors give deviation of observed mag from expected 2MASS mag using the median zeropoint; red is brighter
Second spatial plots: circles are sky fibers. Colors give sky line brightness relative to plate median sky line brightness
FrameNreadsZeropointsMag plots Spatial mag deviation Spatial sky 16325A emission deviations (filled: sky, open: star) Spatial sky continuum emission Spatial sky telluric CO2 absorption deviations (filled: H < 10)
0 0
RedGreenBlue
z17.64
znorm Inf
sky -NaN -NaN -Inf
S/N 27.2 47.2 51.5
S/N(c) 0.0 0.0 0.0
SN(E/C) 0.90

IPAIRNAMESHIFTNEWSHIFTS/N NAMESHIFTNEWSHIFTS/N
0 03410061 0.498983 0.00000 19.0933 03410066 0.00160662 0.497376 19.1052
1 03410060 0.496545 0.00243801 19.1864 03410059 0.00000 0.498983 19.1301
2 03410064 0.493964 0.00501901 19.0664 03410062 -0.000673728 0.499657 19.0591
3 03410065 0.496664 0.00231901 19.0537 03410063 -0.00106251 0.500045 19.0473