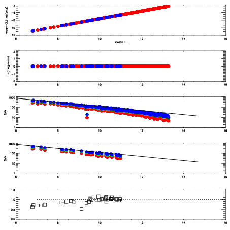
Left plots: red are targets, blue are telluric. Observed mags are calculated from median value of green chip. Zeropoint gives overall throughput: bigger number is more throughput.
First spatial plots: circles are objects, squares are tellurics, crosses are sky fibers. Colors give deviation of observed mag from expected 2MASS mag using the median zeropoint; red is brighter
Second spatial plots: circles are sky fibers. Colors give sky line brightness relative to plate median sky line brightness
FrameNreadsZeropointsMag plots Spatial mag deviation Spatial sky 16325A emission deviations (filled: sky, open: star) Spatial sky continuum emission Spatial sky telluric CO2 absorption deviations (filled: H < 10)
0 0
RedGreenBlue
z17.64
znorm Inf
sky -Inf -Inf -Inf
S/N 15.3 26.7 29.2
S/N(c) 0.0 0.0 0.0
SN(E/C) 0.99

IPAIRNAMESHIFTNEWSHIFTS/N NAMESHIFTNEWSHIFTS/N
0 03480012 0.508824 0.00000 16.8172 03480010 0.00000 0.508824 17.0448
1 03480016 0.504101 0.00472301 19.0311 03480017 0.00174032 0.507084 19.0888
2 03480015 0.502863 0.00596100 17.7720 03480014 -0.000126499 0.508950 17.9758
3 03480011 0.504885 0.00393897 17.4754 03480013 0.00192984 0.506894 17.4330