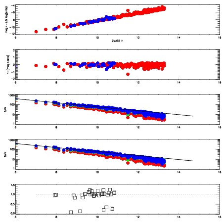
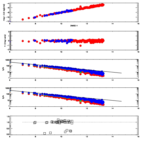
Frame | Nreads | Zeropoints | Mag plots
| Spatial mag deviation
| Spatial sky 16325A emission deviations (filled: sky, open: star)
| Spatial sky continuum emission
| Spatial sky telluric CO2 absorption deviations (filled: H < 10)
|
3490025
| 47
| | Red | Green | Blue
| z | | 18.76
| znorm | | 14.58
| sky | 15.0 | 14.9 | 14.7
| S/N | 13.1 | 20.8 | 22.6
| S/N(c) | 14.8 | 10.2 | 15.2
| SN(E/C) | 0.96
|
|
|
|
|
|
|
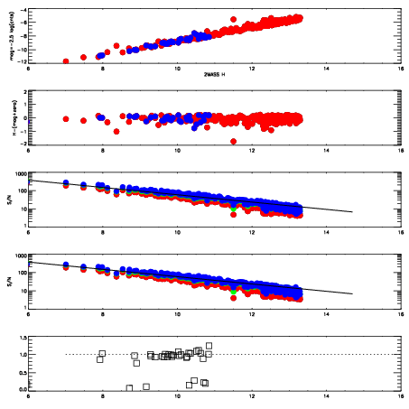
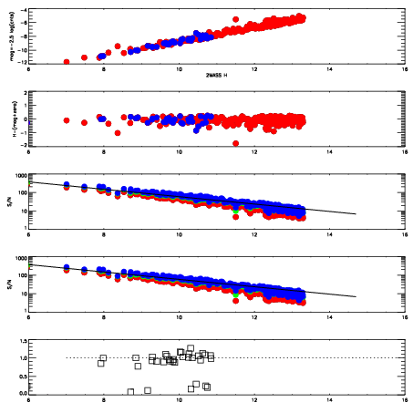
3490026
| 47
| | Red | Green | Blue
| z | | 18.81
| znorm | | 14.63
| sky | 15.2 | 14.9 | 14.9
| S/N | 13.8 | 21.7 | 22.7
| S/N(c) | 14.6 | 10.2 | 15.3
| SN(E/C) | 0.95
|
|
|
|
|
|
|
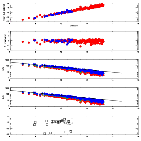
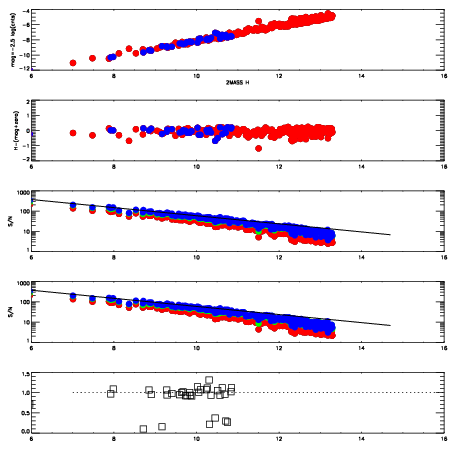
3490027
| 47
| | Red | Green | Blue
| z | | 18.82
| znorm | | 14.64
| sky | 15.1 | 14.9 | 14.9
| S/N | 13.6 | 21.6 | 22.4
| S/N(c) | 14.6 | 10.3 | 15.5
| SN(E/C) | 0.96
|
|
|
|
|
|
|
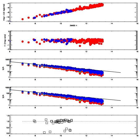
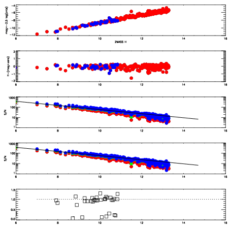
3490028
| 47
| | Red | Green | Blue
| z | | 18.08
| znorm | | 13.90
| sky | 15.1 | 15.0 | 15.0
| S/N | 7.6 | 14.3 | 14.6
| S/N(c) | 9.2 | 6.9 | 10.7
| SN(E/C) | 0.99
|
|
|
|
|
|
|
3490029
| 47
| | Red | Green | Blue
| z | | 18.33
| znorm | | 14.15
| sky | 14.9 | 14.9 | 15.1
| S/N | 9.6 | 16.2 | 16.7
| S/N(c) | 10.9 | 8.0 | 12.3
| SN(E/C) | 0.98
|
|
|
|
|
|
|
3490030
| 47
| | Red | Green | Blue
| z | | 18.22
| znorm | | 14.04
| sky | 15.1 | 14.9 | 15.0
| S/N | 8.4 | 14.9 | 15.5
| S/N(c) | 10.3 | 7.5 | 11.5
| SN(E/C) | 0.97
|
|
|
|
|
|
|
3490031
| 47
| | Red | Green | Blue
| z | | 18.31
| znorm | | 14.13
| sky | 15.2 | 14.9 | 15.0
| S/N | 9.0 | 15.7 | 16.2
| S/N(c) | 11.1 | 8.0 | 12.3
| SN(E/C) | 1.01
|
|
|
|
|
|
|
3490032
| 47
| | Red | Green | Blue
| z | | 18.19
| znorm | | 14.01
| sky | 15.2 | 14.9 | 14.8
| S/N | 8.7 | 14.2 | 15.2
| S/N(c) | 10.5 | 7.5 | 11.6
| SN(E/C) | 0.99
|
|
|
|
|
|
|