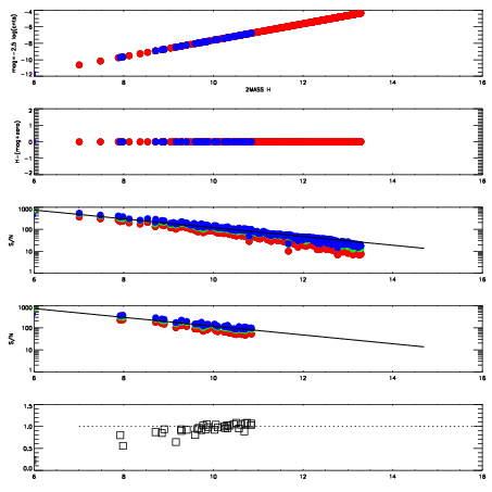
Left plots: red are targets, blue are telluric. Observed mags are calculated from median value of green chip. Zeropoint gives overall throughput: bigger number is more throughput.
First spatial plots: circles are objects, squares are tellurics, crosses are sky fibers. Colors give deviation of observed mag from expected 2MASS mag using the median zeropoint; red is brighter
Second spatial plots: circles are sky fibers. Colors give sky line brightness relative to plate median sky line brightness
FrameNreadsZeropointsMag plots Spatial mag deviation Spatial sky 16325A emission deviations (filled: sky, open: star) Spatial sky continuum emission Spatial sky telluric CO2 absorption deviations (filled: H < 10)
0 0
RedGreenBlue
z17.64
znorm Inf
sky -Inf -NaN -Inf
S/N 21.3 38.3 41.8
S/N(c) 0.0 0.0 0.0
SN(E/C) 0.96

IPAIRNAMESHIFTNEWSHIFTS/N NAMESHIFTNEWSHIFTS/N
0 03750035 0.507406 0.00000 18.9435 03750036 0.000447410 0.506959 19.0269
1 03750034 0.504258 0.00314802 18.8126 03750033 -0.000265202 0.507671 18.7487
2 03750031 0.506063 0.00134301 18.5404 03750032 0.00100409 0.506402 18.6319
3 03750030 0.501160 0.00624597 18.4993 03750029 0.00000 0.507406 18.5963