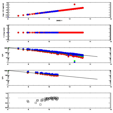
Left plots: red are targets, blue are telluric. Observed mags are calculated from median value of green chip. Zeropoint gives overall throughput: bigger number is more throughput.
First spatial plots: circles are objects, squares are tellurics, crosses are sky fibers. Colors give deviation of observed mag from expected 2MASS mag using the median zeropoint; red is brighter
Second spatial plots: circles are sky fibers. Colors give sky line brightness relative to plate median sky line brightness
FrameNreadsZeropointsMag plots Spatial mag deviation Spatial sky 16325A emission deviations (filled: sky, open: star) Spatial sky continuum emission Spatial sky telluric CO2 absorption deviations (filled: H < 10)
0 0
RedGreenBlue
z17.64
znorm Inf
sky -Inf -Inf -Inf
S/N 34.0 59.6 62.5
S/N(c) 0.0 0.0 0.0
SN(E/C) 0.90

IPAIRNAMESHIFTNEWSHIFTS/N NAMESHIFTNEWSHIFTS/N
0 03710031 0.501952 0.00000 19.1659 03710028 0.00129678 0.500655 19.1460
1 03710030 0.496540 0.00541198 19.1690 03710033 -0.000677432 0.502629 19.1538
2 03710027 0.500031 0.00192100 19.1685 03710029 0.000290297 0.501662 19.1488
3 03710034 0.497370 0.00458199 19.1565 03710032 0.000492679 0.501459 19.1433
4 03710035 0.500549 0.00140297 19.1390 03710036 0.00310551 0.498846 19.1259
5 03710026 0.495818 0.00613400 19.1262 03710025 0.00000 0.501952 19.0207