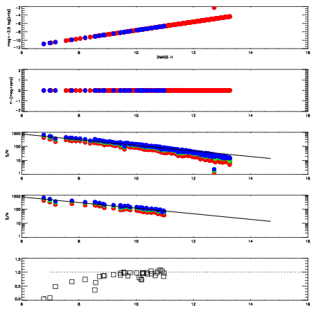
Left plots: red are targets, blue are telluric. Observed mags are calculated from median value of green chip. Zeropoint gives overall throughput: bigger number is more throughput.
First spatial plots: circles are objects, squares are tellurics, crosses are sky fibers. Colors give deviation of observed mag from expected 2MASS mag using the median zeropoint; red is brighter
Second spatial plots: circles are sky fibers. Colors give sky line brightness relative to plate median sky line brightness
FrameNreadsZeropointsMag plots Spatial mag deviation Spatial sky 16325A emission deviations (filled: sky, open: star) Spatial sky continuum emission Spatial sky telluric CO2 absorption deviations (filled: H < 10)
0 0
RedGreenBlue
z17.64
znorm Inf
sky -Inf -Inf -Inf
S/N 19.4 32.5 34.7
S/N(c) 0.0 0.0 0.0
SN(E/C) 0.91

IPAIRNAMESHIFTNEWSHIFTS/N NAMESHIFTNEWSHIFTS/N
0 03420042 0.498439 0.00000 18.7051 03420036 0.00000 0.498439 18.6857
1 03420037 0.492363 0.00607601 18.8438 03420039 0.00175828 0.496681 18.8979
2 03420038 0.494115 0.00432402 18.8100 03420040 5.22028e-05 0.498387 18.8279
3 03420041 0.495346 0.00309300 18.7962 03420043 0.00177302 0.496666 18.8179