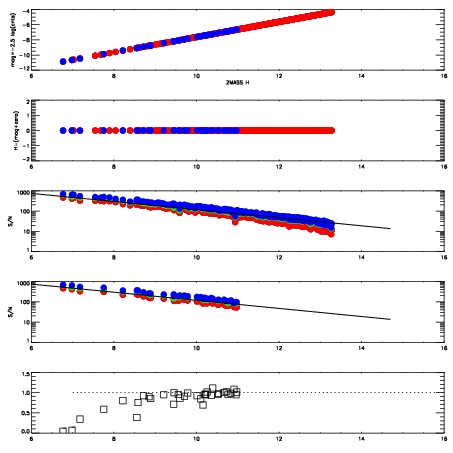
Left plots: red are targets, blue are telluric. Observed mags are calculated from median value of green chip. Zeropoint gives overall throughput: bigger number is more throughput.
First spatial plots: circles are objects, squares are tellurics, crosses are sky fibers. Colors give deviation of observed mag from expected 2MASS mag using the median zeropoint; red is brighter
Second spatial plots: circles are sky fibers. Colors give sky line brightness relative to plate median sky line brightness
FrameNreadsZeropointsMag plots Spatial mag deviation Spatial sky 16325A emission deviations (filled: sky, open: star) Spatial sky continuum emission Spatial sky telluric CO2 absorption deviations (filled: H < 10)
0 0
RedGreenBlue
z17.64
znorm Inf
sky -NaN -NaN -Inf
S/N 27.8 46.8 51.1
S/N(c) 0.0 0.0 0.0
SN(E/C) 0.94

IPAIRNAMESHIFTNEWSHIFTS/N NAMESHIFTNEWSHIFTS/N
0 03950029 0.498631 0.00000 19.1111 03950030 -0.000255842 0.498887 19.0736
1 03950032 0.497183 0.00144801 19.1501 03950031 -0.00307917 0.501710 19.1326
2 03950028 0.497797 0.000833988 19.1387 03950027 0.00000 0.498631 19.1244
3 03950033 0.497718 0.000912994 19.1195 03950034 -0.00208303 0.500714 19.0966