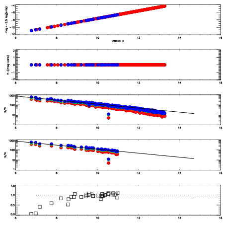
Left plots: red are targets, blue are telluric. Observed mags are calculated from median value of green chip. Zeropoint gives overall throughput: bigger number is more throughput.
First spatial plots: circles are objects, squares are tellurics, crosses are sky fibers. Colors give deviation of observed mag from expected 2MASS mag using the median zeropoint; red is brighter
Second spatial plots: circles are sky fibers. Colors give sky line brightness relative to plate median sky line brightness
FrameNreadsZeropointsMag plots Spatial mag deviation Spatial sky 16325A emission deviations (filled: sky, open: star) Spatial sky continuum emission Spatial sky telluric CO2 absorption deviations (filled: H < 10)
0 0
RedGreenBlue
z17.64
znorm Inf
sky -Inf -Inf -Inf
S/N 20.4 36.1 37.5
S/N(c) 0.0 0.0 0.0
SN(E/C) 0.97

IPAIRNAMESHIFTNEWSHIFTS/N NAMESHIFTNEWSHIFTS/N
0 03960027 0.495213 0.00000 18.9273 03960028 0.00907585 0.486137 19.1085
1 03960023 0.495018 0.000194997 18.6471 03960021 0.00000 0.495213 18.8944
2 03960022 0.494969 0.000243992 18.2902 03960024 0.00314535 0.492068 18.6111
3 03960026 0.494946 0.000266999 18.1364 03960025 0.0139116 0.481301 18.2220