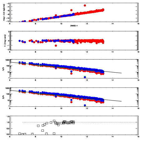
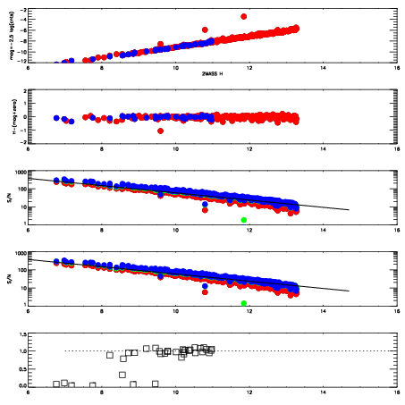
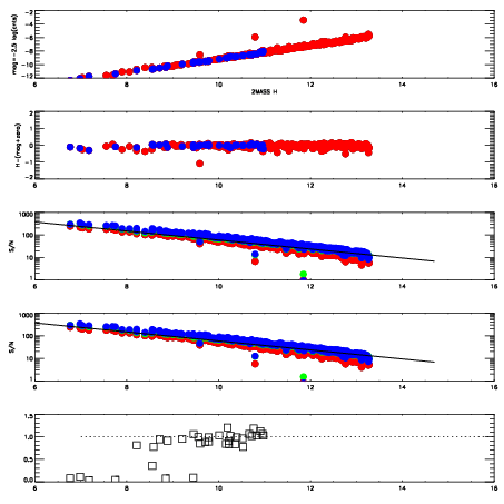
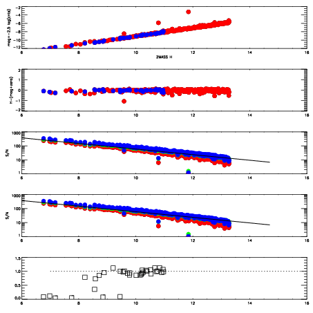
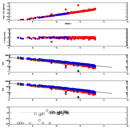
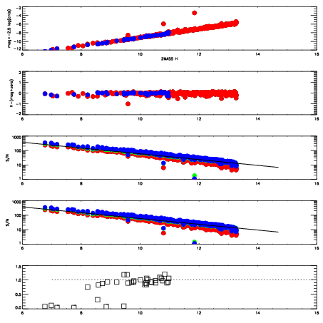
Left plots: red are targets, blue are telluric. Observed mags are calculated from median value of green chip. Zeropoint gives overall throughput: bigger number is more throughput.
First spatial plots: circles are objects, squares are tellurics, crosses are sky fibers. Colors give deviation of observed mag from expected 2MASS mag using the median zeropoint; red is brighter
Second spatial plots: circles are sky fibers. Colors give sky line brightness relative to plate median sky line brightness
FrameNreadsZeropointsMag plots Spatial mag deviation Spatial sky 16325A emission deviations (filled: sky, open: star) Spatial sky continuum emission Spatial sky telluric CO2 absorption deviations (filled: H < 10)
4030023 47
RedGreenBlue
z19.17
znorm14.99
sky 14.9 14.7 14.8
S/N 16.4 26.8 29.1
S/N(c) 31.7 5.0 16.7
SN(E/C) 0.97
4030024 47
RedGreenBlue
z19.21
znorm15.03
sky 15.2 14.8 15.0
S/N 17.2 27.5 30.3
S/N(c) 32.3 5.1 17.3
SN(E/C) 0.91
4030025 47
RedGreenBlue
z19.11
znorm14.93
sky 14.8 14.5 14.8
S/N 15.8 25.7 28.2
S/N(c) 30.2 4.8 16.3
SN(E/C) 0.94
4030026 47
RedGreenBlue
z19.14
znorm14.96
sky 15.0 14.9 14.9
S/N 16.1 26.2 28.8
S/N(c) 30.9 4.9 16.6
SN(E/C) 0.92
4030027 47
RedGreenBlue
z19.13
znorm14.95
sky 15.2 14.7 14.8
S/N 16.1 26.2 28.6
S/N(c) 30.9 4.8 16.5
SN(E/C) 0.97
4030028 47
RedGreenBlue
z19.17
znorm14.99
sky 14.6 14.7 14.8
S/N 16.4 26.6 29.1
S/N(c) 31.6 4.9 16.9
SN(E/C) 0.93