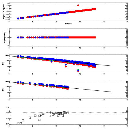
Left plots: red are targets, blue are telluric. Observed mags are calculated from median value of green chip. Zeropoint gives overall throughput: bigger number is more throughput.
First spatial plots: circles are objects, squares are tellurics, crosses are sky fibers. Colors give deviation of observed mag from expected 2MASS mag using the median zeropoint; red is brighter
Second spatial plots: circles are sky fibers. Colors give sky line brightness relative to plate median sky line brightness
FrameNreadsZeropointsMag plots Spatial mag deviation Spatial sky 16325A emission deviations (filled: sky, open: star) Spatial sky continuum emission Spatial sky telluric CO2 absorption deviations (filled: H < 10)
0 0
RedGreenBlue
z17.64
znorm Inf
sky -Inf -Inf -NaN
S/N 25.3 42.8 46.9
S/N(c) 0.0 0.0 0.0
SN(E/C) 0.91

IPAIRNAMESHIFTNEWSHIFTS/N NAMESHIFTNEWSHIFTS/N
0 04030025 0.505566 0.00000 19.1083 04030027 -0.000360573 0.505927 19.1191
1 04030024 0.498388 0.00717801 19.1984 04030023 0.00000 0.505566 19.1626
2 04030028 0.497614 0.00795200 19.1595 04030026 0.000514172 0.505052 19.1339