PLATE:5280 MJD: 56084 FIELD: M15

FrameCartsec zseeingNreadsDitherPixshiftZerosky continuumS/NS/N(cframe)
5220074 5 1.09 1.28 47 0.00 0.00 19.13 [14.61,14.10,14.46] [ 15.6, 24.3, 27.7] [ 8.1, 21.1, 30.3]
5220075 5 1.09 1.09 47 0.49 0.00 19.17 [14.42,14.32,14.48] [ 15.7, 25.3, 28.4] [ 8.3, 21.5, 31.4]
5220076 5 1.08 1.22 47 0.49 -0.00 19.16 [14.32,14.27,14.54] [ 15.2, 25.4, 28.6] [ 8.4, 21.6, 31.4]
5220077 5 1.07 1.34 47 0.00 0.00 19.16 [14.38,14.28,14.46] [ 15.2, 25.2, 28.7] [ 8.4, 21.6, 31.3]

IPAIRNAMESHIFTNEWSHIFTS/N NAMESHIFTNEWSHIFTS/N
0 05220075 0.495 0.000 19.18 05220077 0.001 0.494 19.17
1 05220076 0.495 0.000 19.17 05220074 0.000 0.495 19.13

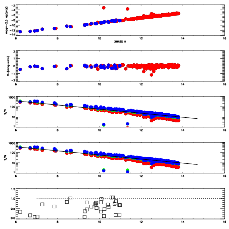
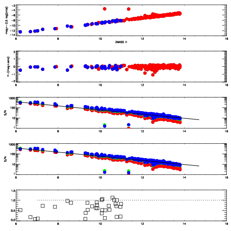
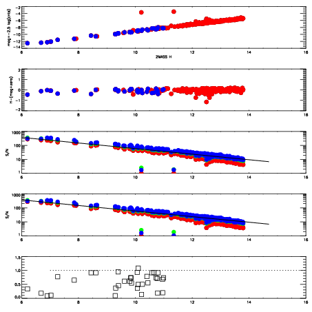
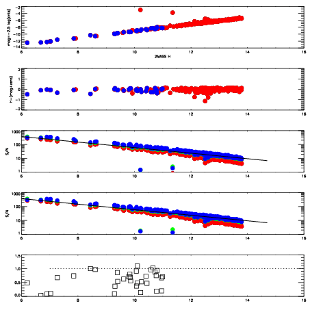
Visit (multiple exposure and dither combined) spectra

FrameZeropointsMag plots Spatial mag deviation Spatial sky telluric CH4 Spatial sky telluric CO2 Spatial sky telluric H2O Spatial sky 16325A emission deviations (filled: sky, open: star) Spatial sky continuum emission
5220074
RedGreenBlue
z19.13
znorm14.95
sky 14.6 14.1 14.5
S/N 15.6 24.3 27.7
S/N(c) 8.1 21.1 30.3
SN(E/C) 0.68
5220075
RedGreenBlue
z19.17
znorm14.99
sky 14.4 14.3 14.5
S/N 15.7 25.3 28.4
S/N(c) 8.3 21.5 31.4
SN(E/C) 0.61
5220076
RedGreenBlue
z19.16
znorm14.98
sky 14.3 14.3 14.5
S/N 15.2 25.4 28.6
S/N(c) 8.4 21.6 31.4
SN(E/C) 0.61
5220077
RedGreenBlue
z19.16
znorm14.98
sky 14.4 14.3 14.5
S/N 15.2 25.2 28.7
S/N(c) 8.4 21.6 31.3
SN(E/C) 0.67