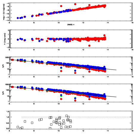
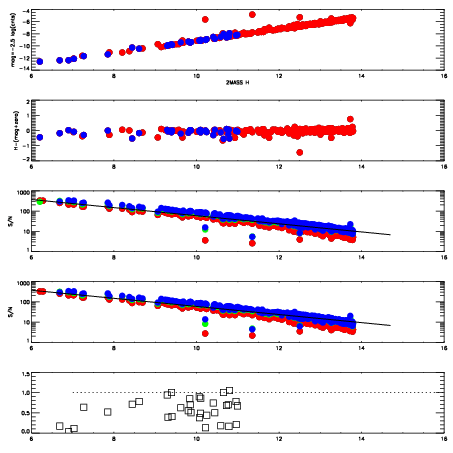
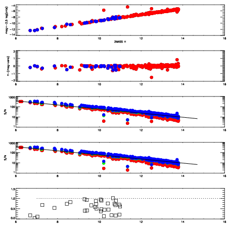
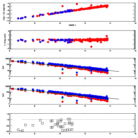
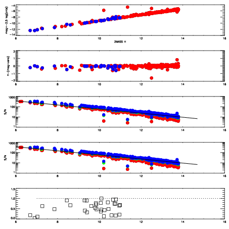
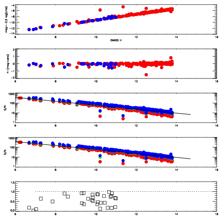
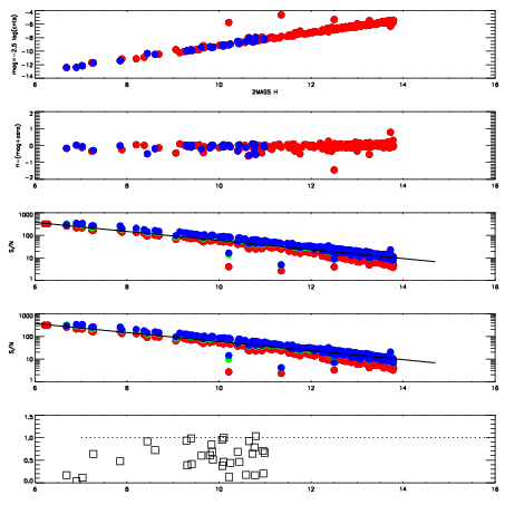
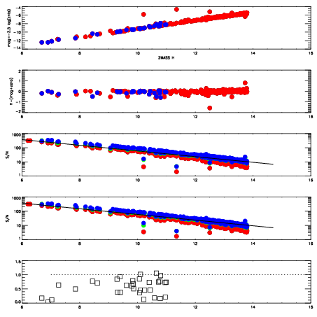
Frame | Nreads | Zeropoints | Mag plots
| Spatial mag deviation
| Spatial sky 16325A emission deviations (filled: sky, open: star)
| Spatial sky continuum emission
| Spatial sky telluric CO2 absorption deviations (filled: H < 10)
|
2830019
| 47
| | Red | Green | Blue
| z | | 19.24
| znorm | | 15.06
| sky | 14.5 | 14.3 | 14.5
| S/N | 16.5 | 27.2 | 30.0
| S/N(c) | 30.6 | 33.1 | 11.6
| SN(E/C) | 0.62
|
|
|
|
|
|
|
2830020
| 47
| | Red | Green | Blue
| z | | 19.28
| znorm | | 15.10
| sky | 14.7 | 14.5 | 14.6
| S/N | 17.0 | 28.2 | 30.7
| S/N(c) | 31.3 | 33.5 | 11.8
| SN(E/C) | 0.60
|
|
|
|
|
|
|
2830021
| 47
| | Red | Green | Blue
| z | | 19.28
| znorm | | 15.10
| sky | 14.6 | 14.5 | 14.6
| S/N | 17.0 | 27.7 | 30.5
| S/N(c) | 31.3 | 33.5 | 11.8
| SN(E/C) | 0.57
|
|
|
|
|
|
|
2830022
| 47
| | Red | Green | Blue
| z | | 19.25
| znorm | | 15.07
| sky | 14.8 | 14.4 | 14.4
| S/N | 16.8 | 27.5 | 29.9
| S/N(c) | 30.8 | 33.3 | 11.7
| SN(E/C) | 0.58
|
|
|
|
|
|
|
2830023
| 47
| | Red | Green | Blue
| z | | 19.27
| znorm | | 15.09
| sky | 14.7 | 14.4 | 14.6
| S/N | 16.8 | 28.1 | 30.5
| S/N(c) | 31.5 | 33.4 | 11.7
| SN(E/C) | 0.54
|
|
|
|
|
|
|
2830024
| 47
| | Red | Green | Blue
| z | | 19.28
| znorm | | 15.10
| sky | 14.6 | 14.5 | 14.4
| S/N | 16.9 | 28.0 | 30.3
| S/N(c) | 31.6 | 33.5 | 11.8
| SN(E/C) | 0.60
|
|
|
|
|
|
|
2830025
| 47
| | Red | Green | Blue
| z | | 19.27
| znorm | | 15.09
| sky | 14.6 | 14.4 | 14.4
| S/N | 17.1 | 28.0 | 30.6
| S/N(c) | 31.9 | 33.5 | 11.8
| SN(E/C) | 0.56
|
|
|
|
|
|
|
2830026
| 47
| | Red | Green | Blue
| z | | 19.26
| znorm | | 15.08
| sky | 14.6 | 14.3 | 14.5
| S/N | 17.1 | 27.9 | 30.4
| S/N(c) | 31.7 | 33.6 | 11.8
| SN(E/C) | 0.54
|
|
|
|
|
|
|