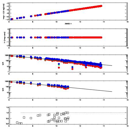
Left plots: red are targets, blue are telluric. Observed mags are calculated from median value of green chip. Zeropoint gives overall throughput: bigger number is more throughput.
First spatial plots: circles are objects, squares are tellurics, crosses are sky fibers. Colors give deviation of observed mag from expected 2MASS mag using the median zeropoint; red is brighter
Second spatial plots: circles are sky fibers. Colors give sky line brightness relative to plate median sky line brightness
FrameNreadsZeropointsMag plots Spatial mag deviation Spatial sky 16325A emission deviations (filled: sky, open: star) Spatial sky continuum emission Spatial sky telluric CO2 absorption deviations (filled: H < 10)
0 0
RedGreenBlue
z17.64
znorm Inf
sky -Inf -Inf -NaN
S/N 29.1 48.9 54.0
S/N(c) 0.0 0.0 0.0
SN(E/C) 0.53

IPAIRNAMESHIFTNEWSHIFTS/N NAMESHIFTNEWSHIFTS/N
0 02860029 0.416512 0.00000 19.2123 02860027 0.00000 0.416512 19.2144
1 02860032 0.414663 0.00184903 19.2359 02860031 0.000407354 0.416105 19.2471
2 02860028 0.415420 0.00109202 19.2269 02860030 0.00458052 0.411931 19.2273
3 02860033 0.416432 8.00192e-05 19.2158 02860034 0.00534018 0.411172 19.2162