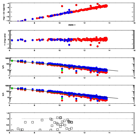
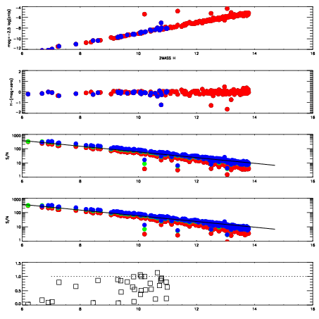
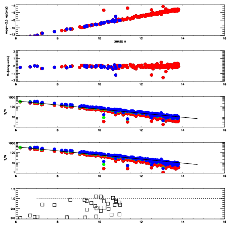
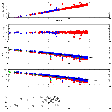
Left plots: red are targets, blue are telluric. Observed mags are calculated from median value of green chip. Zeropoint gives overall throughput: bigger number is more throughput.
First spatial plots: circles are objects, squares are tellurics, crosses are sky fibers. Colors give deviation of observed mag from expected 2MASS mag using the median zeropoint; red is brighter
Second spatial plots: circles are sky fibers. Colors give sky line brightness relative to plate median sky line brightness
FrameNreadsZeropointsMag plots Spatial mag deviation Spatial sky 16325A emission deviations (filled: sky, open: star) Spatial sky continuum emission Spatial sky telluric CO2 absorption deviations (filled: H < 10)
5260050 47
RedGreenBlue
z18.97
znorm14.79
sky 14.5 14.3 14.4
S/N 14.0 23.3 24.8
S/N(c) 10.0 8.6 13.7
SN(E/C) 0.68
5260051 47
RedGreenBlue
z19.01
znorm14.83
sky 14.4 14.2 14.6
S/N 14.2 23.5 25.0
S/N(c) 10.1 8.8 14.0
SN(E/C) 0.68
5260052 47
RedGreenBlue
z19.02
znorm14.84
sky 14.5 14.3 14.5
S/N 14.6 24.0 25.3
S/N(c) 10.1 8.8 14.0
SN(E/C) 0.64
5260053 47
RedGreenBlue
z19.03
znorm14.85
sky 14.3 14.2 14.4
S/N 14.0 23.3 24.7
S/N(c) 10.1 8.8 13.9
SN(E/C) 0.63