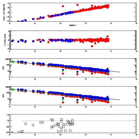
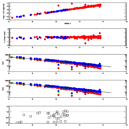
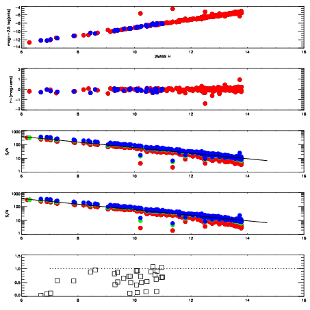
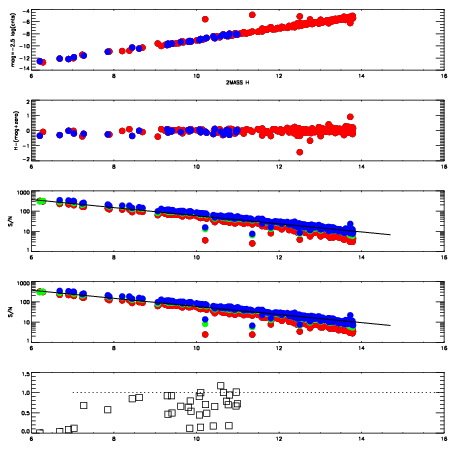
Left plots: red are targets, blue are telluric. Observed mags are calculated from median value of green chip. Zeropoint gives overall throughput: bigger number is more throughput.
First spatial plots: circles are objects, squares are tellurics, crosses are sky fibers. Colors give deviation of observed mag from expected 2MASS mag using the median zeropoint; red is brighter
Second spatial plots: circles are sky fibers. Colors give sky line brightness relative to plate median sky line brightness
FrameNreadsZeropointsMag plots Spatial mag deviation Spatial sky 16325A emission deviations (filled: sky, open: star) Spatial sky continuum emission Spatial sky telluric CO2 absorption deviations (filled: H < 10)
5440056 47
RedGreenBlue
z19.12
znorm14.94
sky 14.4 14.4 14.3
S/N 16.5 26.3 29.1
S/N(c) 29.5 17.5 19.5
SN(E/C) 0.67
5440057 47
RedGreenBlue
z19.14
znorm14.96
sky 14.5 14.6 14.6
S/N 16.4 26.5 29.5
S/N(c) 29.4 17.6 19.5
SN(E/C) 0.65
5440058 47
RedGreenBlue
z19.03
znorm14.85
sky 14.5 14.7 14.6
S/N 15.1 25.0 27.5
S/N(c) 27.7 17.2 18.3
SN(E/C) 0.68
5440059 47
RedGreenBlue
z19.07
znorm14.89
sky 14.2 14.5 14.4
S/N 15.4 25.6 28.3
S/N(c) 28.3 17.5 18.8
SN(E/C) 0.66