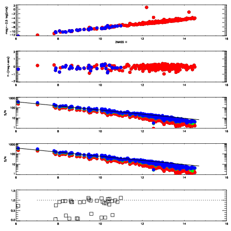
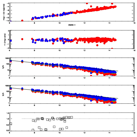
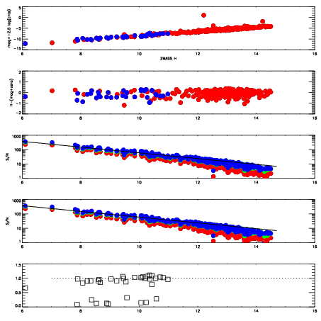
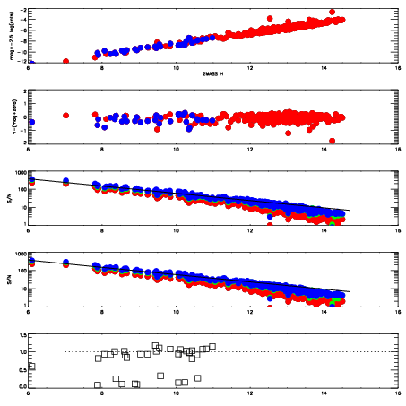
Left plots: red are targets, blue are telluric. Observed mags are calculated from median value of green chip. Zeropoint gives overall throughput: bigger number is more throughput.
First spatial plots: circles are objects, squares are tellurics, crosses are sky fibers. Colors give deviation of observed mag from expected 2MASS mag using the median zeropoint; red is brighter
Second spatial plots: circles are sky fibers. Colors give sky line brightness relative to plate median sky line brightness
FrameNreadsZeropointsMag plots Spatial mag deviation Spatial sky 16325A emission deviations (filled: sky, open: star) Spatial sky continuum emission Spatial sky telluric CO2 absorption deviations (filled: H < 10)
2600070 47
RedGreenBlue
z18.63
znorm14.45
sky 14.9 14.8 14.7
S/N 12.2 20.8 23.5
S/N(c) 8.6 7.7 6.5
SN(E/C) 0.96
2600071 47
RedGreenBlue
z18.62
znorm14.44
sky 14.8 14.8 14.8
S/N 12.0 20.3 22.8
S/N(c) 8.6 7.7 6.4
SN(E/C) 0.93
2600072 47
RedGreenBlue
z18.58
znorm14.40
sky 14.9 14.8 14.9
S/N 12.0 20.5 22.9
S/N(c) 8.6 7.6 6.3
SN(E/C) 0.91
2600073 47
RedGreenBlue
z18.64
znorm14.46
sky 15.1 15.0 15.0
S/N 12.0 20.2 23.0
S/N(c) 8.6 7.8 6.5
SN(E/C) 0.90