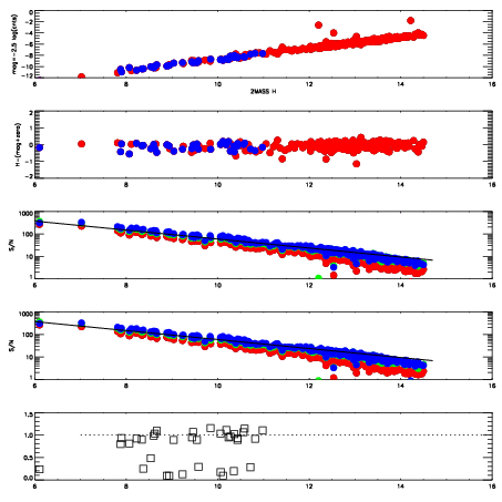
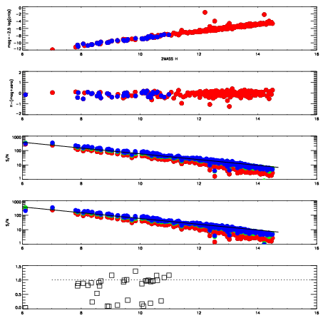
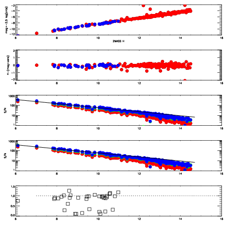
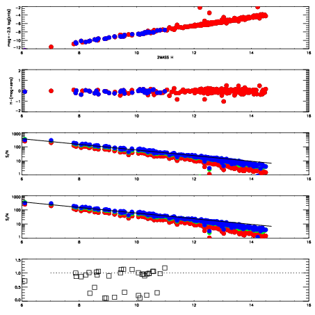
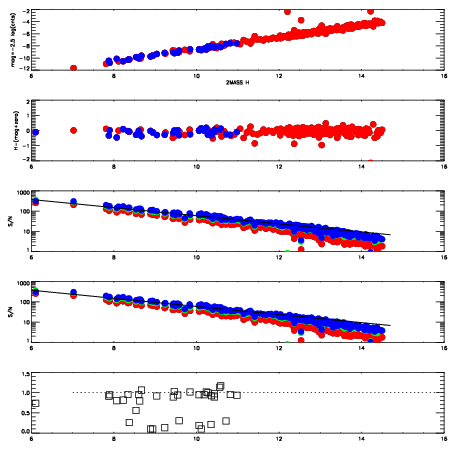
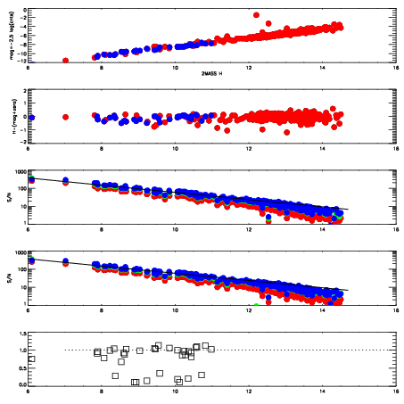
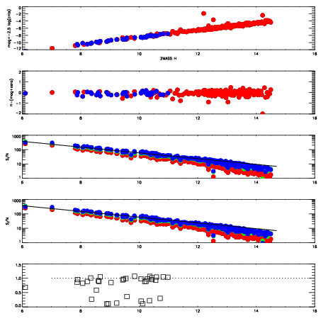
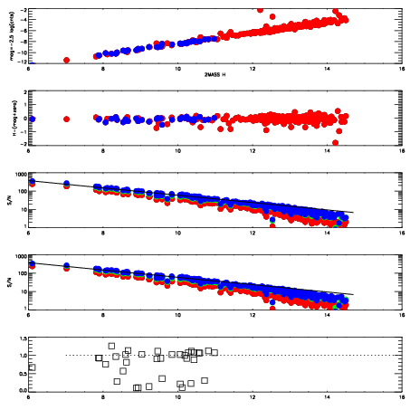
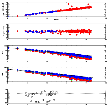
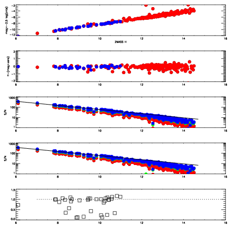
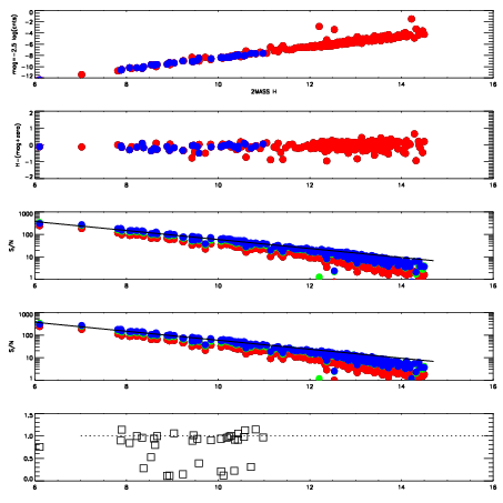
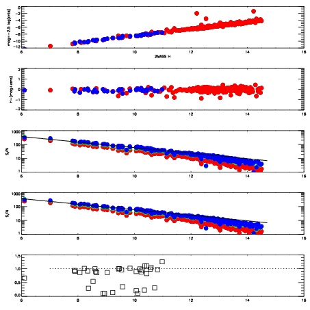
Frame | Nreads | Zeropoints | Mag plots
| Spatial mag deviation
| Spatial sky 16325A emission deviations (filled: sky, open: star)
| Spatial sky continuum emission
| Spatial sky telluric CO2 absorption deviations (filled: H < 10)
|
2790047
| 47
| | Red | Green | Blue
| z | | 18.63
| znorm | | 14.45
| sky | 14.7 | 14.5 | 14.9
| S/N | 10.6 | 18.7 | 20.0
| S/N(c) | 11.8 | 13.9 | 17.4
| SN(E/C) | 0.92
|
|
|
|
|
|
|
2790048
| 47
| | Red | Green | Blue
| z | | 18.54
| znorm | | 14.36
| sky | 14.7 | 14.8 | 15.0
| S/N | 10.5 | 18.2 | 19.4
| S/N(c) | 10.7 | 12.8 | 16.4
| SN(E/C) | 0.92
|
|
|
|
|
|
|
2790049
| 47
| | Red | Green | Blue
| z | | 18.40
| znorm | | 14.22
| sky | 15.4 | 14.9 | 15.0
| S/N | 9.4 | 16.3 | 17.8
| S/N(c) | 10.0 | 12.0 | 15.5
| SN(E/C) | 0.97
|
|
|
|
|
|
|
2790050
| 47
| | Red | Green | Blue
| z | | 18.48
| znorm | | 14.30
| sky | 15.2 | 14.9 | 15.1
| S/N | 9.9 | 17.2 | 18.4
| S/N(c) | 10.3 | 12.4 | 15.8
| SN(E/C) | 0.92
|
|
|
|
|
|
|
2790051
| 47
| | Red | Green | Blue
| z | | 18.55
| znorm | | 14.37
| sky | 14.9 | 14.8 | 15.0
| S/N | 10.0 | 17.6 | 19.2
| S/N(c) | 11.2 | 13.3 | 16.7
| SN(E/C) | 0.93
|
|
|
|
|
|
|
2790052
| 47
| | Red | Green | Blue
| z | | 18.55
| znorm | | 14.37
| sky | 14.9 | 14.9 | 15.0
| S/N | 10.0 | 17.8 | 19.2
| S/N(c) | 10.9 | 13.0 | 16.5
| SN(E/C) | 0.90
|
|
|
|
|
|
|
2790053
| 47
| | Red | Green | Blue
| z | | 18.45
| znorm | | 14.27
| sky | 14.8 | 14.8 | 15.0
| S/N | 9.2 | 16.9 | 17.8
| S/N(c) | 10.6 | 12.7 | 15.6
| SN(E/C) | 0.91
|
|
|
|
|
|
|
2790054
| 47
| | Red | Green | Blue
| z | | 18.60
| znorm | | 14.42
| sky | 14.9 | 15.0 | 15.0
| S/N | 10.2 | 18.2 | 19.2
| S/N(c) | 11.4 | 13.7 | 16.9
| SN(E/C) | 0.89
|
|
|
|
|
|
|
2790055
| 47
| | Red | Green | Blue
| z | | 18.57
| znorm | | 14.39
| sky | 15.0 | 14.8 | 15.0
| S/N | 10.3 | 18.4 | 18.8
| S/N(c) | 11.4 | 13.5 | 16.6
| SN(E/C) | 0.95
|
|
|
|
|
|
|
2790056
| 47
| | Red | Green | Blue
| z | | 18.66
| znorm | | 14.48
| sky | 14.8 | 15.0 | 15.1
| S/N | 10.6 | 18.9 | 19.7
| S/N(c) | 11.5 | 13.7 | 17.4
| SN(E/C) | 0.91
|
|
|
|
|
|
|
2790057
| 47
| | Red | Green | Blue
| z | | 18.88
| znorm | | 14.70
| sky | 15.1 | 15.0 | 15.1
| S/N | 12.3 | 21.8 | 22.2
| S/N(c) | 13.0 | 14.8 | 19.0
| SN(E/C) | 0.90
|
|
|
|
|
|
|
2790058
| 47
| | Red | Green | Blue
| z | | 18.81
| znorm | | 14.63
| sky | 15.4 | 15.1 | 15.0
| S/N | 12.2 | 21.2 | 21.2
| S/N(c) | 12.3 | 14.0 | 18.3
| SN(E/C) | 0.91
|
|
|
|
|
|
|