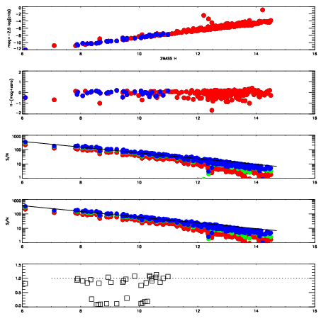
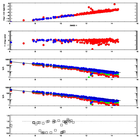
Frame | Nreads | Zeropoints | Mag plots
| Spatial mag deviation
| Spatial sky 16325A emission deviations (filled: sky, open: star)
| Spatial sky continuum emission
| Spatial sky telluric CO2 absorption deviations (filled: H < 10)
|
2540048
| 47
| | Red | Green | Blue
| z | | 18.72
| znorm | | 14.54
| sky | 14.4 | 14.3 | 14.1
| S/N | 10.3 | 19.0 | 19.0
| S/N(c) | 30.7 | 11.5 | 25.5
| SN(E/C) | 0.88
|
|
|
|
|
|
|
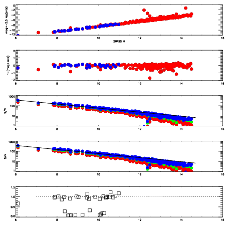
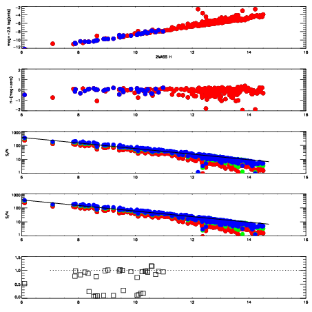
2540049
| 47
| | Red | Green | Blue
| z | | 18.60
| znorm | | 14.42
| sky | 14.5 | 14.6 | 14.6
| S/N | 9.0 | 17.4 | 17.7
| S/N(c) | 28.6 | 10.6 | 24.0
| SN(E/C) | 0.85
|
|
|
|
|
|
|
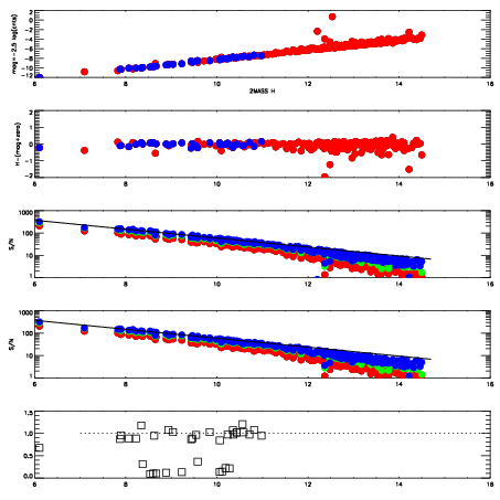
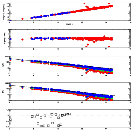
2540050
| 47
| | Red | Green | Blue
| z | | 18.61
| znorm | | 14.43
| sky | 14.8 | 14.7 | 14.7
| S/N | 9.8 | 18.0 | 18.1
| S/N(c) | 28.1 | 10.8 | 24.0
| SN(E/C) | 0.96
|
|
|
|
|
|
|
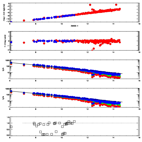
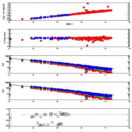
2540051
| 47
| | Red | Green | Blue
| z | | 18.85
| znorm | | 14.67
| sky | 14.6 | 14.8 | 14.8
| S/N | 11.3 | 19.9 | 21.0
| S/N(c) | 32.4 | 12.1 | 26.7
| SN(E/C) | 0.88
|
|
|
|
|
|
|
2540052
| 47
| | Red | Green | Blue
| z | | 18.28
| znorm | | 14.10
| sky | 14.9 | 14.8 | 14.9
| S/N | 7.8 | 14.4 | 14.6
| S/N(c) | 22.8 | 9.0 | 20.0
| SN(E/C) | 0.88
|
|
|
|
|
|
|
2540053
| 47
| | Red | Green | Blue
| z | | 18.48
| znorm | | 14.30
| sky | 14.7 | 14.8 | 14.7
| S/N | 8.8 | 16.2 | 16.2
| S/N(c) | 25.5 | 10.0 | 22.1
| SN(E/C) | 0.83
|
|
|
|
|
|
|
2540054
| 47
| | Red | Green | Blue
| z | | 18.50
| znorm | | 14.32
| sky | 14.9 | 14.8 | 14.9
| S/N | 8.7 | 16.1 | 16.4
| S/N(c) | 26.1 | 10.3 | 22.9
| SN(E/C) | 0.90
|
|
|
|
|
|
|
2540055
| 47
| | Red | Green | Blue
| z | | 18.39
| znorm | | 14.21
| sky | 14.8 | 14.9 | 14.9
| S/N | 8.1 | 15.2 | 15.3
| S/N(c) | 24.4 | 9.9 | 21.3
| SN(E/C) | 0.90
|
|
|
|
|
|
|