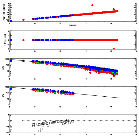
Left plots: red are targets, blue are telluric. Observed mags are calculated from median value of green chip. Zeropoint gives overall throughput: bigger number is more throughput.
First spatial plots: circles are objects, squares are tellurics, crosses are sky fibers. Colors give deviation of observed mag from expected 2MASS mag using the median zeropoint; red is brighter
Second spatial plots: circles are sky fibers. Colors give sky line brightness relative to plate median sky line brightness
FrameNreadsZeropointsMag plots Spatial mag deviation Spatial sky 16325A emission deviations (filled: sky, open: star) Spatial sky continuum emission Spatial sky telluric CO2 absorption deviations (filled: H < 10)
0 0
RedGreenBlue
z17.64
znorm Inf
sky -Inf -Inf -Inf
S/N 22.3 38.7 42.6
S/N(c) 0.0 0.0 0.0
SN(E/C) 0.80

IPAIRNAMESHIFTNEWSHIFTS/N NAMESHIFTNEWSHIFTS/N
0 02610056 0.431686 0.00000 19.1570 02610057 -0.000645911 0.432332 19.0632
1 02610055 0.430731 0.000955015 19.1048 02610054 -0.00310570 0.434792 18.9909
2 02610051 0.428959 0.00272700 18.9756 02610053 0.000838936 0.430847 18.9641
3 02610052 0.430779 0.000907004 18.9629 02610050 0.00000 0.431686 18.9106