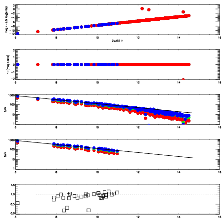
Left plots: red are targets, blue are telluric. Observed mags are calculated from median value of green chip. Zeropoint gives overall throughput: bigger number is more throughput.
First spatial plots: circles are objects, squares are tellurics, crosses are sky fibers. Colors give deviation of observed mag from expected 2MASS mag using the median zeropoint; red is brighter
Second spatial plots: circles are sky fibers. Colors give sky line brightness relative to plate median sky line brightness
FrameNreadsZeropointsMag plots Spatial mag deviation Spatial sky 16325A emission deviations (filled: sky, open: star) Spatial sky continuum emission Spatial sky telluric CO2 absorption deviations (filled: H < 10)
0 0
RedGreenBlue
z17.64
znorm Inf
sky -Inf -Inf -Inf
S/N 17.7 31.3 37.3
S/N(c) 0.0 0.0 0.0
SN(E/C) 0.92

IPAIRNAMESHIFTNEWSHIFTS/N NAMESHIFTNEWSHIFTS/N
0 02810029 0.415115 0.00000 18.5342 02810030 -0.000106241 0.415221 18.5182
1 02810032 0.413341 0.00177401 18.6705 02810027 0.00000 0.415115 18.6446
2 02810033 0.413982 0.00113299 18.6352 02810031 -0.00372928 0.418844 18.5755
3 02810028 0.410943 0.00417200 18.4858 02810034 -0.00237467 0.417490 18.5169