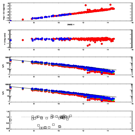
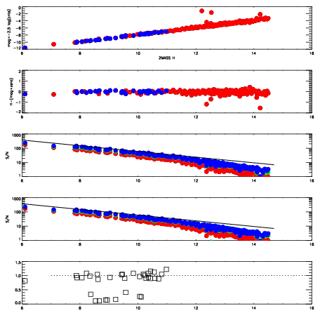
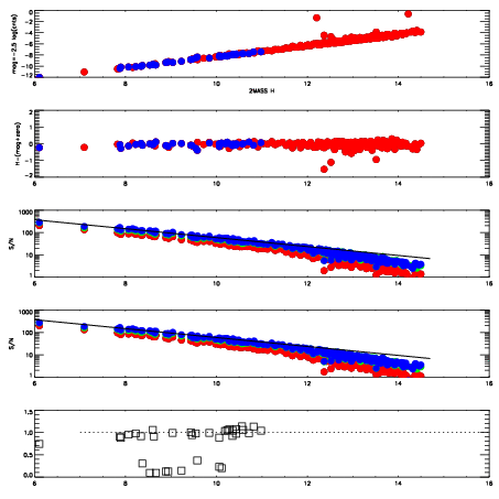
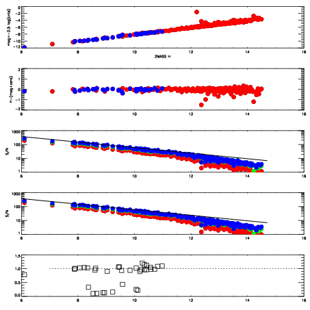
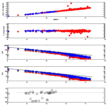
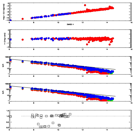
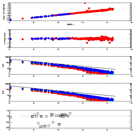
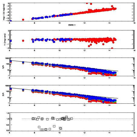
Frame | Nreads | Zeropoints | Mag plots
| Spatial mag deviation
| Spatial sky 16325A emission deviations (filled: sky, open: star)
| Spatial sky continuum emission
| Spatial sky telluric CO2 absorption deviations (filled: H < 10)
|
3110010
| 47
| | Red | Green | Blue
| z | | 17.65
| znorm | | 13.47
| sky | 14.9 | 14.7 | 14.5
| S/N | 5.1 | 11.4 | 10.3
| S/N(c) | 6.8 | 13.4 | 8.9
| SN(E/C) | 0.95
|
|
|
|
|
|
|
3110011
| 47
| | Red | Green | Blue
| z | | 17.93
| znorm | | 13.75
| sky | 15.1 | 14.9 | 15.2
| S/N | 6.5 | 13.0 | 12.7
| S/N(c) | 7.8 | 15.3 | 10.6
| SN(E/C) | 0.92
|
|
|
|
|
|
|
3110012
| 47
| | Red | Green | Blue
| z | | 17.54
| znorm | | 13.36
| sky | 15.4 | 15.1 | 15.2
| S/N | 4.6 | 10.3 | 9.9
| S/N(c) | 6.2 | 12.6 | 8.5
| SN(E/C) | 0.99
|
|
|
|
|
|
|
3110013
| 47
| | Red | Green | Blue
| z | | 18.07
| znorm | | 13.89
| sky | 15.1 | 15.0 | 15.3
| S/N | 6.7 | 14.0 | 13.5
| S/N(c) | 8.4 | 16.3 | 11.3
| SN(E/C) | 0.99
|
|
|
|
|
|
|
3110014
| 47
| | Red | Green | Blue
| z | | 18.00
| znorm | | 13.82
| sky | 15.2 | 15.0 | 15.1
| S/N | 7.2 | 13.9 | 13.1
| S/N(c) | 8.3 | 15.8 | 10.8
| SN(E/C) | 0.97
|
|
|
|
|
|
|
3110015
| 47
| | Red | Green | Blue
| z | | 18.14
| znorm | | 13.96
| sky | 15.2 | 15.1 | 15.2
| S/N | 7.6 | 14.7 | 14.6
| S/N(c) | 9.2 | 17.1 | 11.7
| SN(E/C) | 0.96
|
|
|
|
|
|
|
3110016
| 47
| | Red | Green | Blue
| z | | 18.34
| znorm | | 14.16
| sky | 15.2 | 15.2 | 15.2
| S/N | 9.1 | 16.7 | 16.0
| S/N(c) | 10.5 | 18.9 | 13.1
| SN(E/C) | 0.95
|
|
|
|
|
|
|
3110017
| 47
| | Red | Green | Blue
| z | | 18.21
| znorm | | 14.03
| sky | 15.1 | 15.2 | 15.2
| S/N | 8.2 | 15.2 | 15.1
| S/N(c) | 9.8 | 17.9 | 12.4
| SN(E/C) | 0.93
|
|
|
|
|
|
|
3110018
| 47
| | Red | Green | Blue
| z | | 18.37
| znorm | | 14.19
| sky | 14.9 | 15.0 | 15.2
| S/N | 9.0 | 16.8 | 16.8
| S/N(c) | 10.6 | 19.2 | 13.3
| SN(E/C) | 0.92
|
|
|
|
|
|
|
3110019
| 47
| | Red | Green | Blue
| z | | 18.44
| znorm | | 14.26
| sky | 15.0 | 15.3 | 15.0
| S/N | 9.1 | 17.2 | 17.3
| S/N(c) | 11.0 | 20.0 | 13.6
| SN(E/C) | 0.93
|
|
|
|
|
|
|
3110020
| 47
| | Red | Green | Blue
| z | | 18.35
| znorm | | 14.17
| sky | 15.0 | 15.1 | 15.1
| S/N | 8.7 | 16.4 | 16.6
| S/N(c) | 10.0 | 18.5 | 13.0
| SN(E/C) | 0.97
|
|
|
|
|
|
|
3110021
| 47
| | Red | Green | Blue
| z | | 18.46
| znorm | | 14.28
| sky | 15.3 | 15.2 | 15.1
| S/N | 9.4 | 17.1 | 17.8
| S/N(c) | 10.9 | 20.0 | 13.8
| SN(E/C) | 0.95
|
|
|
|
|
|
|