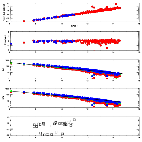
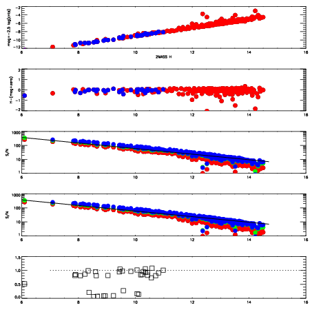
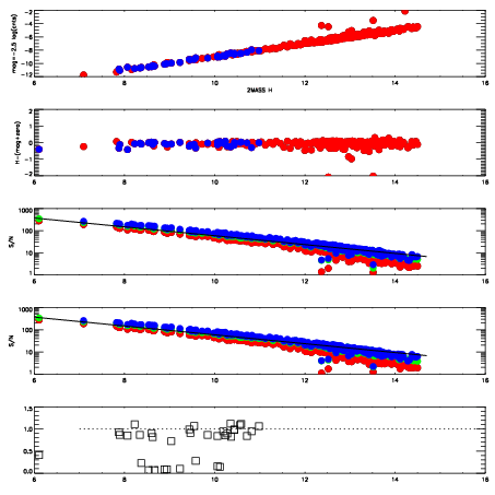
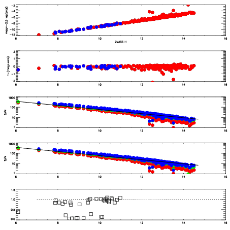
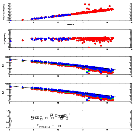
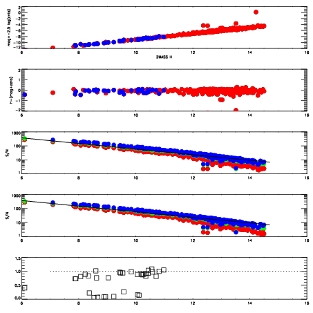
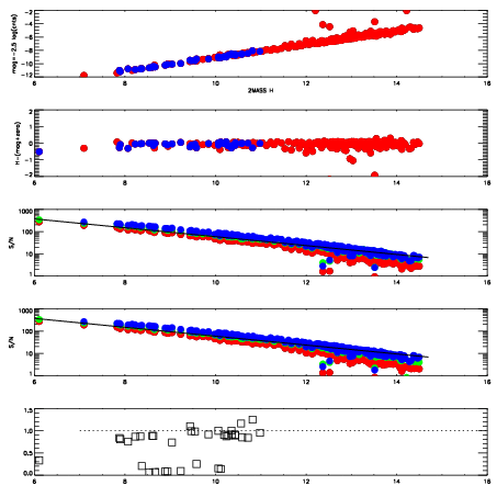
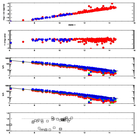
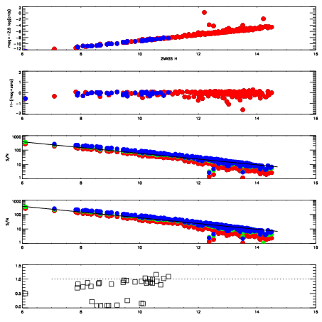
Frame | Nreads | Zeropoints | Mag plots
| Spatial mag deviation
| Spatial sky 16325A emission deviations (filled: sky, open: star)
| Spatial sky continuum emission
| Spatial sky telluric CO2 absorption deviations (filled: H < 10)
|
3120047
| 47
| | Red | Green | Blue
| z | | 18.97
| znorm | | 14.79
| sky | 14.6 | 14.4 | 14.7
| S/N | 11.0 | 19.5 | 21.6
| S/N(c) | 13.6 | 25.0 | 17.4
| SN(E/C) | 0.84
|
|
|
|
|
|
|
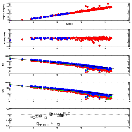
3120048
| 47
| | Red | Green | Blue
| z | | 19.04
| znorm | | 14.86
| sky | 15.0 | 14.5 | 14.8
| S/N | 11.7 | 20.2 | 21.7
| S/N(c) | 14.1 | 25.5 | 18.0
| SN(E/C) | 0.86
|
|
|
|
|
|
|
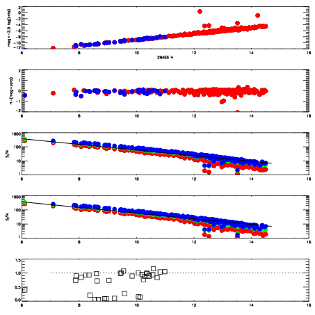
3120049
| 47
| | Red | Green | Blue
| z | | 18.85
| znorm | | 14.67
| sky | 14.6 | 14.4 | 14.4
| S/N | 10.5 | 18.3 | 19.8
| S/N(c) | 12.4 | 22.9 | 16.2
| SN(E/C) | 0.88
|
|
|
|
|
|
|
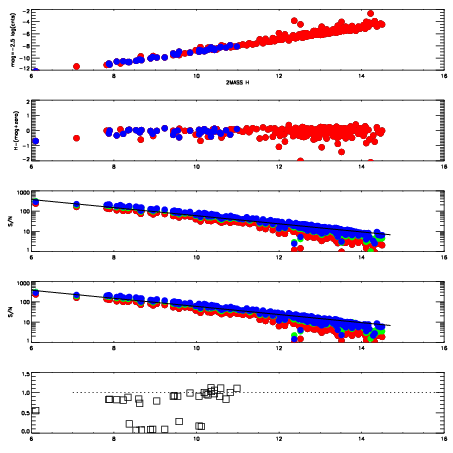
3120050
| 47
| | Red | Green | Blue
| z | | 19.07
| znorm | | 14.89
| sky | 15.0 | 14.7 | 14.8
| S/N | 12.4 | 21.5 | 23.2
| S/N(c) | 14.1 | 25.9 | 18.1
| SN(E/C) | 0.84
|
|
|
|
|
|
|
3120051
| 47
| | Red | Green | Blue
| z | | 19.09
| znorm | | 14.91
| sky | 15.1 | 14.7 | 14.8
| S/N | 12.5 | 21.3 | 23.1
| S/N(c) | 14.0 | 25.8 | 18.0
| SN(E/C) | 0.87
|
|
|
|
|
|
|
3120052
| 47
| | Red | Green | Blue
| z | | 19.10
| znorm | | 14.92
| sky | 15.0 | 14.7 | 14.8
| S/N | 12.2 | 21.4 | 23.0
| S/N(c) | 14.2 | 26.0 | 18.2
| SN(E/C) | 0.85
|
|
|
|
|
|
|
3120053
| 47
| | Red | Green | Blue
| z | | 19.01
| znorm | | 14.83
| sky | 14.8 | 14.7 | 14.6
| S/N | 11.0 | 19.2 | 20.5
| S/N(c) | 13.2 | 24.4 | 17.3
| SN(E/C) | 0.87
|
|
|
|
|
|
|
3120054
| 47
| | Red | Green | Blue
| z | | 19.15
| znorm | | 14.97
| sky | 15.1 | 15.1 | 14.9
| S/N | 12.6 | 21.9 | 23.4
| S/N(c) | 14.4 | 26.3 | 18.4
| SN(E/C) | 0.87
|
|
|
|
|
|
|
3120055
| 47
| | Red | Green | Blue
| z | | 19.09
| znorm | | 14.91
| sky | 15.0 | 14.8 | 15.0
| S/N | 12.0 | 21.0 | 22.4
| S/N(c) | 14.4 | 25.5 | 17.7
| SN(E/C) | 0.84
|
|
|
|
|
|
|
3120056
| 47
| | Red | Green | Blue
| z | | 19.06
| znorm | | 14.88
| sky | 14.9 | 14.8 | 15.0
| S/N | 11.7 | 20.9 | 22.2
| S/N(c) | 14.4 | 25.5 | 17.5
| SN(E/C) | 0.86
|
|
|
|
|
|
|
3120057
| 47
| | Red | Green | Blue
| z | | 19.09
| znorm | | 14.91
| sky | 15.1 | 14.8 | 15.0
| S/N | 11.9 | 21.1 | 22.5
| S/N(c) | 14.3 | 26.4 | 17.8
| SN(E/C) | 0.83
|
|
|
|
|
|
|
3120058
| 47
| | Red | Green | Blue
| z | | 19.07
| znorm | | 14.89
| sky | 14.8 | 14.7 | 14.9
| S/N | 12.0 | 21.0 | 22.7
| S/N(c) | 14.0 | 26.2 | 17.6
| SN(E/C) | 0.89
|
|
|
|
|
|
|